Zadnji put ažurirano :
27/04/2026
lijek protiv karcinoma   Dacarbazine  
injekcija
Stabilizacija rješenja Stabilnost mješavine Stabilizacijski faktor Kompatibilnosti način davanja lijeka Bibliografija pdf
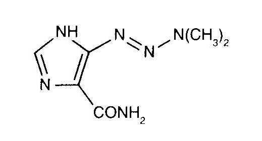
   Kemijska struktura  

Nekomercijalni   Nekomercijalni     

Zaštićeni nazivi su indikativni i sastav ekscipijensa može biti različit ovisno o državi i laboratorijima

Acocarb Meksiko
Celdaz Indija, Peru
Dabaz Indija, Brazil
Dacarba Indija
Dacarbazin Austrija, Madžarska, Malezija, Poljska
Dacarbazina Argentina, Brazil, Čile, Ekvador, Italija, Kolumbija, Meksiko, Peru, Španjolska
Dacarbazine Indija, Australija, Belgija, Danska, Iran, Irska, Kanada, novi Zeland, S A D, Švedska, Velika Britanija
Dacarex Indija
Dacarin Indija
Dacarpalm Peru
Dacarzine Indija
Dacin Slovenija, Švicarska
Dacmed Indija
Daracina Kolumbija
Deticene Francuska, Grčka, Nizozemska, Portugal, Saudijska Arabija
Detimedac Kolumbija, Njemačka, Rumunjska, Tunis
DTIC Austrija, novi Zeland, S A D
Fauldetic Portugal
Oncocarbil Argentina, Ekvador, Peru
Tiferomed Meksiko
Stabilnost mješavine   injekcija   Stabilnost mješavine : Dacarbazine     
Kontejner sredstvo za rastapanje koncentracija molekula temperatura Konzerviranje Trajanje stabilnosti Bibliografija
čaša natrijumkorid 0,9% 0,85 mg/ml
injekcija   Dacarbazine   
injekcija   Granisetron hydrochloride 0,5 mg/ml
20°C-23°C
4 sat
Zaštićeno od svjetlosti 57
Razina dokaza A+
čaša glukoza 5% 0,05 mg/ml
injekcija   Dacarbazine   
injekcija   Palonosetron hydrochloride 25 µg/ml
25°C
4 sat
svjetlost 2107
Razina dokaza A+
polivinilklorid glukoza 5% 8 mg/ml
injekcija   Dacarbazine   
injekcija   Ondansetron hydrochloride 0,64 mg/ml
injekcija   Doxorubicin hydrochloride 0,8 mg/ml
30°C
24 sat
nespecifičan 26
Razina dokaza D
polivinilklorid glukoza 5% 8 mg/ml
injekcija   Dacarbazine   
injekcija   Ondansetron hydrochloride 0,64 mg/ml
injekcija   Doxorubicin hydrochloride 0,8 mg/ml
4°C
7 dan
Zaštićeno od svjetlosti 26
Razina dokaza D

  Mentions Légales