Ultimele actualizari :
27/04/2026
Citostatic   Dacarbazine  
Injectabil
Stabilitatea in solutie Stabilitatea in amestec Factorii care influenteaza stabilitatea Compatibilitate Microunde Bibliografie pdf
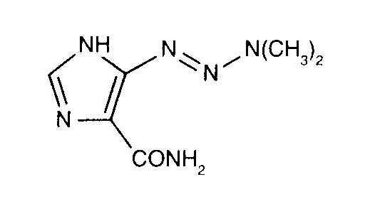
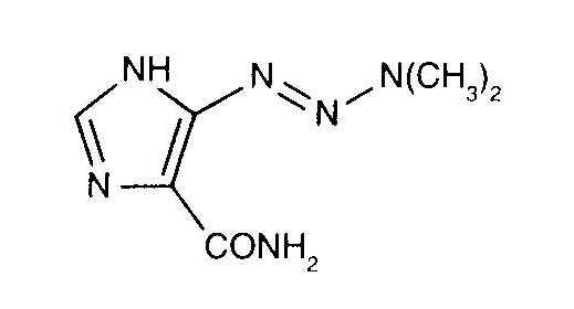
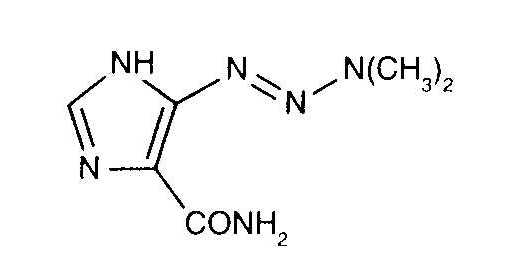
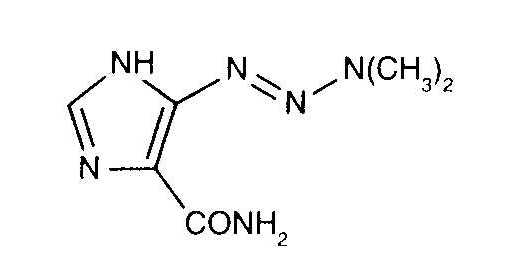
   Formula chimica  

Denumirea comerciala   Denumirea comerciala     

Trade names are indicative and excipients composition can be different depending on the country and manufacturers

Acocarb Mexic
Celdaz India, Peru
Dabaz Brazilia, India
Dacarba India
Dacarbazin Austria, Malaezia, Polonia, Ungaria
Dacarbazina Argentina, Brazilia, Chilli, Columbia, Ecuador, Italia, Mexic, Peru, Spania
Dacarbazine Australia, Belgia, Canada, Danemarca, India, Iran, Irlanda, Marea Britanie, noua Zeelandă, SUA, Suedia
Dacarex India
Dacarin India
Dacarpalm Peru
Dacarzine India
Dacin Elvetia, Slovenia
Dacmed India
Daracina Columbia
Deticene Arabia Saudita, Franta, Grecia, Olanda, Portugalia
Detimedac Columbia, Germania, Romania, Tunisia
DTIC Austria, noua Zeelandă, SUA
Fauldetic Portugalia
Oncocarbil Argentina, Ecuador, Peru
Tiferomed Mexic
Stabilitatea in amestec   Injectabil   Stabilitatea in amestec : Dacarbazine     
Continut Solvent Concentratie Molecula (substanta activa) Temperatura Conservare Durata stabilității Bibiografie
sticla clorura de sodiu 0,9% 0,85 mg/ml
Injectabil   Dacarbazine   
Injectabil   Granisetron hydrochloride 0,5 mg/ml
20°C-23°C
4 Ora
Ferit de lumina 57
Nivel de evidență A+
sticla Glucoza 5% 0,05 mg/ml
Injectabil   Dacarbazine   
Injectabil   Palonosetron hydrochloride 25 µg/ml
25°C
4 Ora
Lumina 2107
Nivel de evidență A+
clorura de polivinil Glucoza 5% 8 mg/ml
Injectabil   Dacarbazine   
Injectabil   Ondansetron hydrochloride 0,64 mg/ml
Injectabil   Doxorubicin hydrochloride 0,8 mg/ml
30°C
24 Ora
Neprecizat 26
Nivel de evidență D
clorura de polivinil Glucoza 5% 8 mg/ml
Injectabil   Dacarbazine   
Injectabil   Ondansetron hydrochloride 0,64 mg/ml
Injectabil   Doxorubicin hydrochloride 0,8 mg/ml
4°C
7 Ziua
Ferit de lumina 26
Nivel de evidență D

  Mentions Légales