Senaste uppdateringen :
27/04/2026
cancerläkemedel   Dacarbazine  
injektion
Lösningars stabilitet Stabilitet i blandningar Faktorer som påverkar stabiliteten Kompatibilitet Administreringssätt Hänvisningar pdf
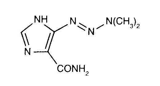
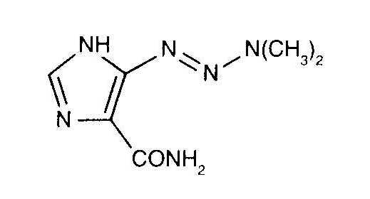
   Molekylstruktur  

Varunamn   Varunamn     

Angivna handelsnamn på läkemedel är enbart vägledande då formulering inklusive hjälpämnen kan variera mellan länder och tillverkare

Acocarb Mexiko
Celdaz Indien, Peru
Dabaz Brasilien, Indien
Dacarba Indien
Dacarbazin Malaysia, Österrike, Polen, Ungern
Dacarbazina Argentina, Brasilien, Chile, Colombia, Ecuador, Italien, Mexiko, Peru, Spanien
Dacarbazine Australien, Belgien, Danmark, Förenta Staterna, Indien, Iran, Irland, Kanada, nya Zeeland, Storbritannien, Sverige
Dacarex Indien
Dacarin Indien
Dacarpalm Peru
Dacarzine Indien
Dacin Schweiz, Slovenien
Dacmed Indien
Daracina Colombia
Deticene Frankrike, Grekland, Nederländerna, Portugal, Saudi-Arabien
Detimedac Colombia, Rumänien, Tunisien, Tyskland
DTIC Förenta Staterna, nya Zeeland, Österrike
Fauldetic Portugal
Oncocarbil Argentina, Ecuador, Peru
Tiferomed Mexiko
Stabilitet i blandningar   injektion   Stabilitet i blandningar : Dacarbazine     
Behållare Lösningsmedel Koncentration Substans Temperatur Förvaring Stabilitets varaktighet Hänvisningar
Glas Natriumklorid 0,9 % 0,85 mg/ml
injektion   Dacarbazine   
injektion   Granisetron hydrochloride 0,5 mg/ml
20°C-23°C
4 Timma
Skyddas från ljus 57
Evidensnivå A+
Glas Glukos 5 % 0,05 mg/ml
injektion   Dacarbazine   
injektion   Palonosetron hydrochloride 25 µg/ml
25°C
4 Timma
Ljus 2107
Evidensnivå A+
Polyvinylklorid Glukos 5 % 8 mg/ml
injektion   Dacarbazine   
injektion   Ondansetron hydrochloride 0,64 mg/ml
injektion   Doxorubicin hydrochloride 0,8 mg/ml
30°C
24 Timma
Ej angiven 26
Evidensnivå D
Polyvinylklorid Glukos 5 % 8 mg/ml
injektion   Dacarbazine   
injektion   Ondansetron hydrochloride 0,64 mg/ml
injektion   Doxorubicin hydrochloride 0,8 mg/ml
4°C
7 Dag
Skyddas från ljus 26
Evidensnivå D

  Mentions Légales