Utolsó frissítés :
27/04/2026
rákellenes gyógyszer   Dacarbazine  
Injekció
Az oldatok stabilitása A keverékek stabilitása Stabilitást befolyásoló tényezők Kompatibilitás Az alkalmazás módja Irodalom pdf
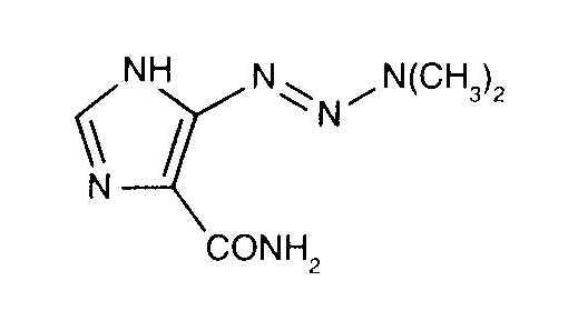
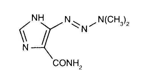
   Kémiai szerkezet   

Kereskedelmi név   Kereskedelmi név     

A kereskedelmi név meghatározó jelentőségű: a készítmények összetétele országonként, előállítóként eltérő lehet

Acocarb Mexikó
Celdaz India, Peru
Dabaz Brazília, India
Dacarba India
Dacarbazin Ausztria, Lengyelország, Magyarország, Malaysia
Dacarbazina Argentína, Brazília, Chile, Colombia, Ecuador, Mexikó, Olaszország, Peru, Spanyolország
Dacarbazine Amerikai Egyesült Államok, Ausztrália, Belgium, Dánia, India, Irán, Írország, Kanada, Nagy-Britannia, Svédország, új-Zéland
Dacarex India
Dacarin India
Dacarpalm Peru
Dacarzine India
Dacin Svájc, Szlovénia
Dacmed India
Daracina Colombia
Deticene Franciaország, Görögország, Hollandia, Portugália, Szaúd-Arábiában
Detimedac Colombia, Németország, Románia, Tunézia
DTIC Amerikai Egyesült Államok, Ausztria, új-Zéland
Fauldetic Portugália
Oncocarbil Argentína, Ecuador, Peru
Tiferomed Mexikó
A keverékek stabilitása   Injekció   A keverékek stabilitása : Dacarbazine     
Csomagolás Oldószer Koncentráció Vegyület Hőmérséklet Tárolás A stabilitás időtartama Irodalom
Üveg 0,9% nátrium-klorid 0,85 mg/ml
Injekció   Dacarbazine   
Injekció   Granisetron hydrochloride 0,5 mg/ml
20°C-23°C
4 Óra
Fénytől védve tartandó 57
Szintű bizonyítékot A+
Üveg 5% glükóz 0,05 mg/ml
Injekció   Dacarbazine   
Injekció   Palonosetron hydrochloride 25 µg/ml
25°C
4 Óra
Fény 2107
Szintű bizonyítékot A+
Poli(vinilklorid) 5% glükóz 8 mg/ml
Injekció   Dacarbazine   
Injekció   Ondansetron hydrochloride 0,64 mg/ml
Injekció   Doxorubicin hydrochloride 0,8 mg/ml
30°C
24 Óra
Nincs meghatározva 26
Szintű bizonyítékot D
Poli(vinilklorid) 5% glükóz 8 mg/ml
Injekció   Dacarbazine   
Injekció   Ondansetron hydrochloride 0,64 mg/ml
Injekció   Doxorubicin hydrochloride 0,8 mg/ml
4°C
7 Nap
Fénytől védve tartandó 26
Szintű bizonyítékot D

  Mentions Légales