viimane versioon :
27/04/2026
vähiravimite   Dacarbazine  
Süsteravim
Stabiilsus lahustes Stabiilsust mõjutavad tegurid stabiilsust mõjutavad faktorid Sobimatus Manustamis viis Viited pdf
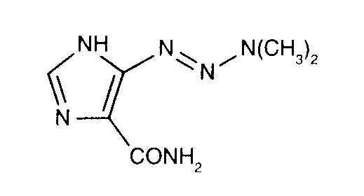
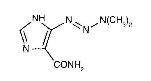
   keemiline struktuur  

Kaubanduslikud nimed erinevates maades   Kaubanduslikud nimed erinevates maades     

Preparaatide nimed on näitlikud ja abianete sisaldus võib erineda sõltuvalt riigist ja laborist

Acocarb Mehhiko
Celdaz India, Maroko
Dabaz Brasiilia, India
Dacarba India
Dacarbazin Austria, Malaisia, Poola, Ungari
Dacarbazina Argentiina, Brasiilia, Ecuador, Hispaania, Itaalia, Kolumbia, Maroko, Mehhiko, Tšiili
Dacarbazine Ameerika ühendriigid, Austraalia, Belgia, Iirimaa, India, Iraan, Kanada, Rootsi, Suurbritannia, Taani, uus-Meremaa
Dacarex India
Dacarin India
Dacarpalm Maroko
Dacarzine India
Dacin Sloveenia, Sveits
Dacmed India
Daracina Kolumbia
Deticene Holland, Kreeka, Portugal, Prantsusmaa, Saudi Araabia
Detimedac Kolumbia, Rumeenia, Saksamaa, Tuneesia
DTIC Ameerika ühendriigid, Austria, uus-Meremaa
Fauldetic Portugal
Oncocarbil Argentiina, Ecuador, Maroko
Tiferomed Mehhiko
Stabiilsust mõjutavad tegurid   Süsteravim   Stabiilsust mõjutavad tegurid : Dacarbazine     
konteiner lahusti kontsentratsioon ingredient temperatuur ladustamine Stabiilsuse kestus Viited
klaas naatriumkloriid 0.9% 0,85 mg/ml
Süsteravim   Dacarbazine   
Süsteravim   Granisetron hydrochloride 0,5 mg/ml
20°C-23°C
4 Tund
kaitsta valguse eest 57
Tõenduspõhisuse tase A+
klaas glükoos 5% 0,05 mg/ml
Süsteravim   Dacarbazine   
Süsteravim   Palonosetron hydrochloride 25 µg/ml
25°C
4 Tund
valgus 2107
Tõenduspõhisuse tase A+
polüvinüülkloriid glükoos 5% 8 mg/ml
Süsteravim   Dacarbazine   
Süsteravim   Ondansetron hydrochloride 0,64 mg/ml
Süsteravim   Doxorubicin hydrochloride 0,8 mg/ml
30°C
24 Tund
pole täpsustatud 26
Tõenduspõhisuse tase D
polüvinüülkloriid glükoos 5% 8 mg/ml
Süsteravim   Dacarbazine   
Süsteravim   Ondansetron hydrochloride 0,64 mg/ml
Süsteravim   Doxorubicin hydrochloride 0,8 mg/ml
4°C
7 päev
kaitsta valguse eest 26
Tõenduspõhisuse tase D

  Mentions Légales