viimane versioon :
18/03/2026
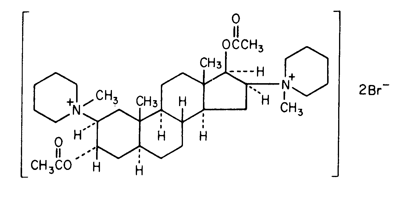
Kuraare-taoline  ravim   Pancuronium bromide  
Süsteravim
Stabiilsus lahustes Stabiilsust mõjutavad tegurid stabiilsust mõjutavad faktorid Sobimatus Manustamis viis Viited pdf
   keemiline struktuur  

Kaubanduslikud nimed erinevates maades   Kaubanduslikud nimed erinevates maades     

Preparaatide nimed on näitlikud ja abianete sisaldus võib erineda sõltuvalt riigist ja laborist

Pancuronium bromide injection Ameerika ühendriigid, Kanada
Stabiilsust mõjutavad tegurid   Süsteravim   Stabiilsust mõjutavad tegurid : Pancuronium bromide     
konteiner lahusti kontsentratsioon ingredient temperatuur ladustamine Stabiilsuse kestus Viited
klaas glükoos 5% 0,46 mg/ml
Süsteravim   Pancuronium bromide   
Süsteravim   Milrinone lactate 0,2 mg/ml
22°C-23°C
4 Tund
valgus 813
Tõenduspõhisuse tase A

  Mentions Légales