Laatste update :
27/01/2026
Curarimimeticum   Pancuronium bromide  
injecteerbaar geneesmiddel
Stabiliteit in oplossing Stabiliteit in mengsels Factoren die de stabiliteit beïnvloeden Verenigbaarheden Toedieningswijze Literatuur pdf
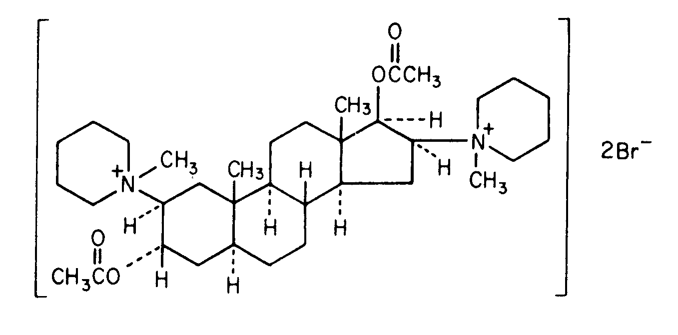
   Molecuulstructuur  

Merknamen in verschillende landen   Merknamen in verschillende landen     

Handelsnamen zijn slechts een indicatie; de samenstelling van hulpstoffen kan per land variëren afhankelijk van de fabrikant

Pancuronium bromide injection Canada, USA
Stabiliteit in mengsels   injecteerbaar geneesmiddel   Stabiliteit in mengsels : Pancuronium bromide     
Verpakking Oplosmiddel Concentratie Stof Temperatuur Bewaring Duur van de stabiliteit Literatuur
Glas Glucose 5% 0,46 mg/ml
injecteerbaar geneesmiddel   Pancuronium bromide   
injecteerbaar geneesmiddel   Milrinone lactate 0,2 mg/ml
22°C-23°C
4 Uur
Licht 813
Bewijsniveau A

  Mentions Légales