Останнє оновлення :
27/01/2026
Курариміметик   Pancuronium bromide  
ін'єкція
Стійкість в розчинах Стійкість сумішей Фактори, що впливають на стабільність Сумісність Шлях введення Список літератури pdf
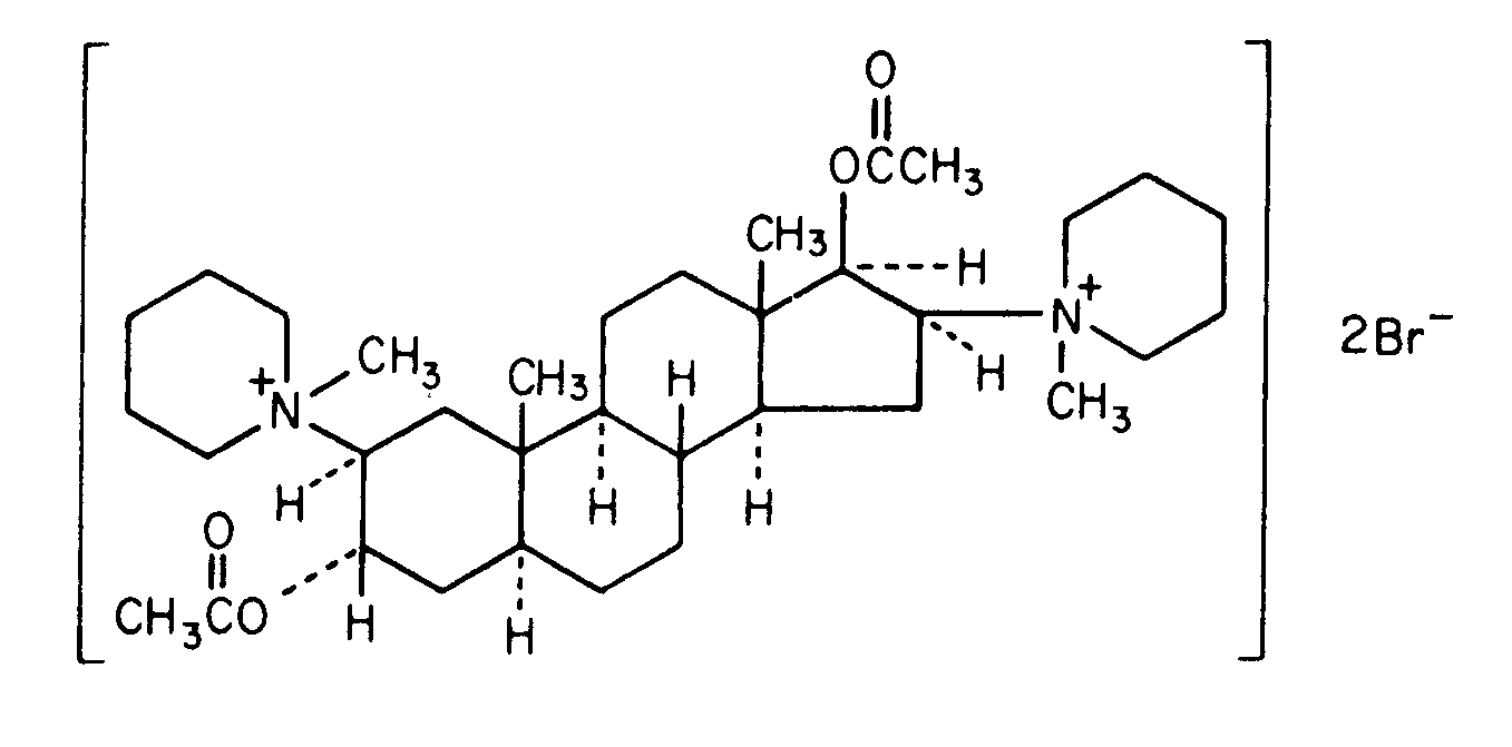
   Хімічна структура  

Торгова назва   Торгова назва     

Торгові назви є орієнтовними, а склад допоміжних речовин може бути різним залежно від країни та виробника

Pancuronium bromide injection Канада, Сполучені Штати Америки
Стійкість сумішей   ін'єкція   Стійкість сумішей : Pancuronium bromide     
Контейнер Розчинник Концентрація З'єднання температура Зберігання Тривалість стабільності Список літератури
скло Глюкоза 5% 0,46 mg/ml
ін'єкція   Pancuronium bromide   
ін'єкція   Milrinone lactate 0,2 mg/ml
22°C-23°C
4 годину
світло 813
Рівень доказовості А

  Mentions Légales