Dernière mise à jour :
27/01/2026
Curarisant   Pancuronium bromide  
injectable
Stabilité des solutions Stabilité en mélange Facteur influençant la stabilité Compatibilités Voie d’administration Bibliographie pdf
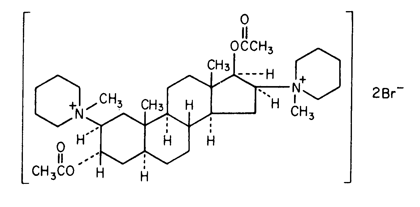
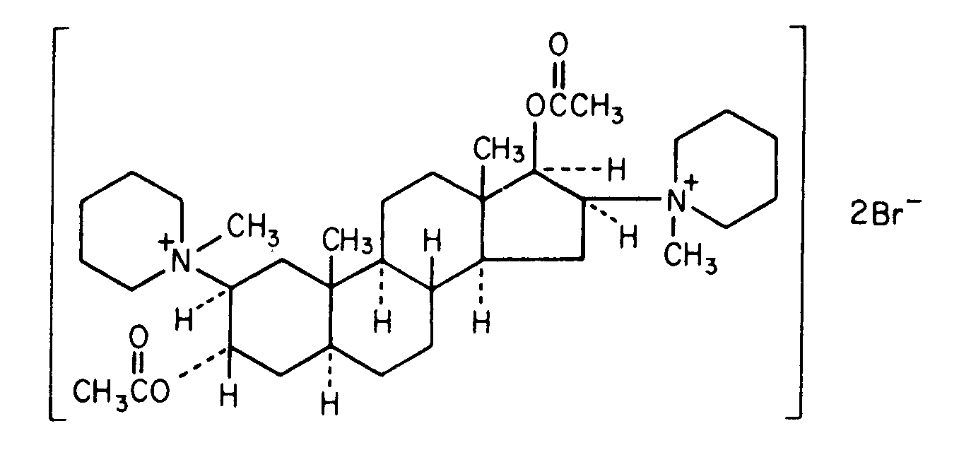
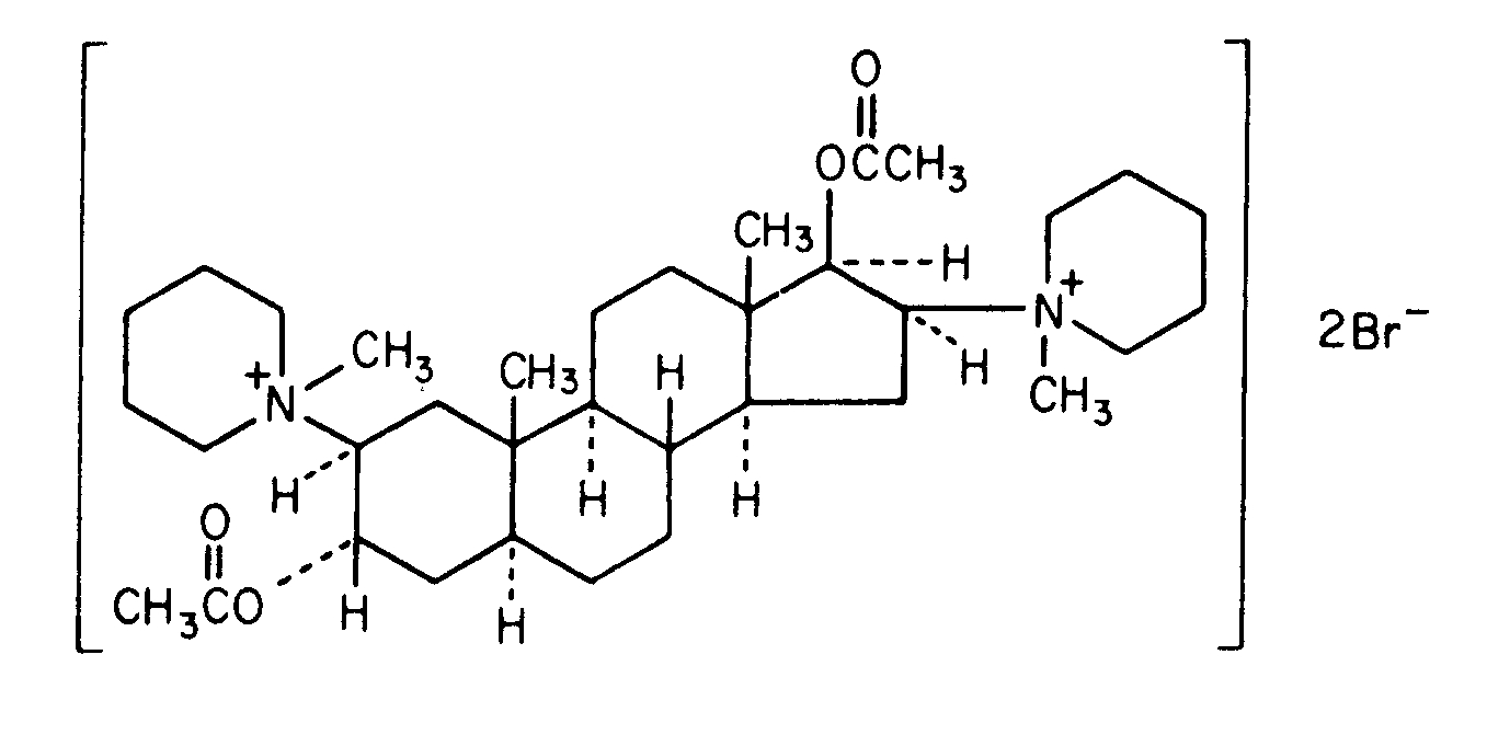
   Structure chimique  

Noms commerciaux   Noms commerciaux     

Les noms commerciaux sont donnés à titre indicatif et la composition en excipients peut être différente selon les pays et selon les laboratoires

Pancuronium bromide injection Canada, Etats Unis d’Amérique
Stabilité en mélange   injectable   Stabilité en mélange : Pancuronium bromide     
Contenant Solvant Concentration Molécule Température Conservation Durée de stabilité Bibliographie
Verre Glucose 5% 0,46 mg/ml
injectable   Pancuronium bromide   
injectable   Milrinone lactate 0,2 mg/ml
22°C-23°C
4 Heure
Lumière 813
Niveau de preuve A

  Mentions Légales