Last update :
27/01/2026
Curarimimetic   Pancuronium bromide  
injection
Stability in solutions Stability of mixtures Factors which affect stability Compatibility Route of administration References pdf
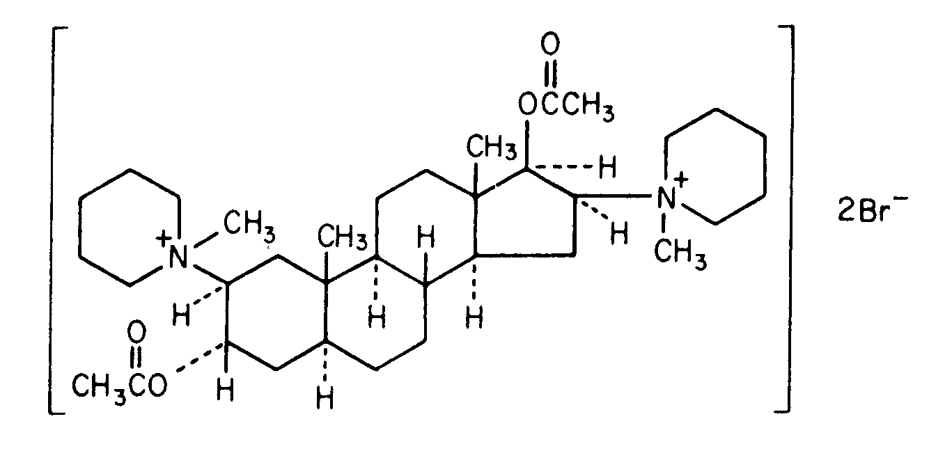
   Chemical structure  

Tradename   Tradename     

Trade names are indicative and excipients composition can be different depending on the country and manufacturers

Pancuronium bromide injection Canada, United States of America
Stability of mixtures   injection   Stability of mixtures : Pancuronium bromide     
Container Solvent Concentration Compound Temperature Storage Duration of stability References
Glass Glucose 5% 0,46 mg/ml
injection   Pancuronium bromide   
injection   Milrinone lactate 0,2 mg/ml
22°C-23°C
4 Hour
Light 813
Level of evidence A

  Mentions Légales