Posledná aktualizácia :
27/01/2026
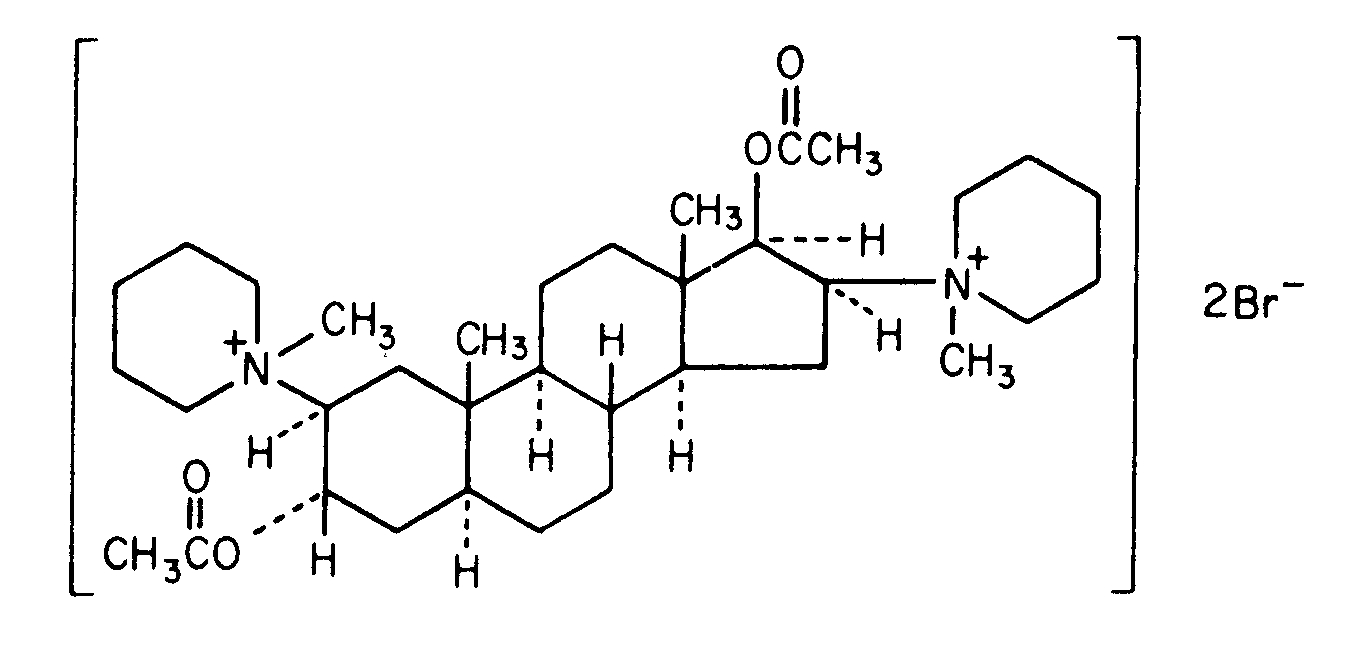
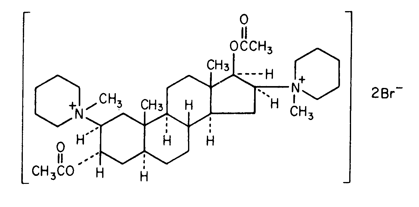
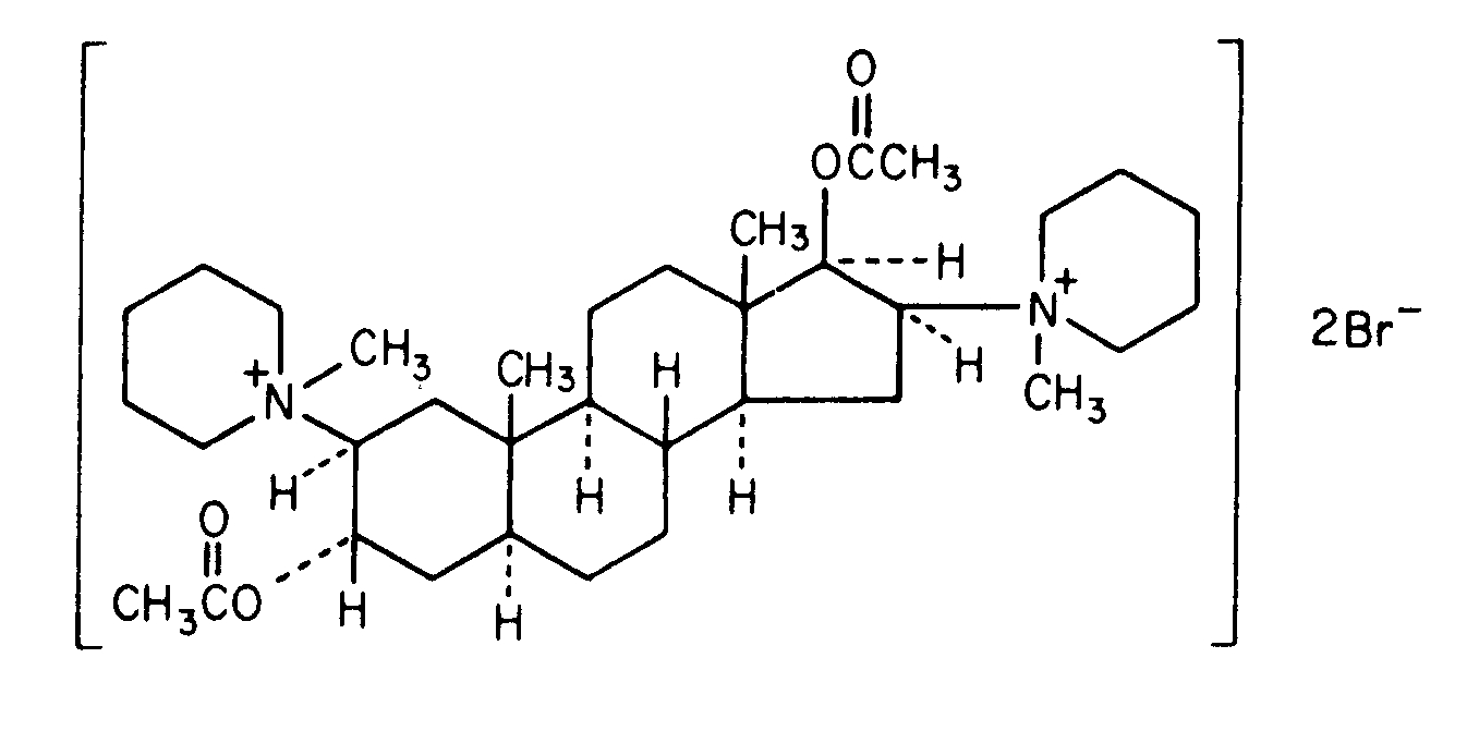
kurarimimetikum/periférne myorelaxans   Pancuronium bromide  
Injekcia
Stabilita roztokov Stabilita v zmesiach Faktory ovplyvňujúce stabilitu Kompatibility spôsob podania Odkazy na literatúru PDF
   Chemický vzorec  

Obchodný názov   Obchodný názov     

Obchodné názvy sú orientačné, a zloženie pomocných látok sa môže líšiť v závislosti od krajiny a výrobcu.

Pancuronium bromide injection Kanada, Spojené štáty Americké
Stabilita v zmesiach   Injekcia   Stabilita v zmesiach : Pancuronium bromide     
obal rozpúšťadlo koncentrácia Zlúčenina teplota uchovávanie Trvanie stability odkazy na lieteratúru
Sklo 5% glukóza 0,46 mg/ml
Injekcia   Pancuronium bromide   
Injekcia   Milrinone lactate 0,2 mg/ml
22°C-23°C
4 hodín
Za svetla 813
Úroveň dôkazov A

  Mentions Légales