Dernière mise à jour :
27/04/2026
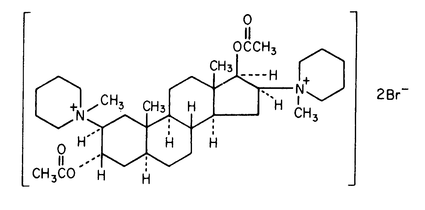
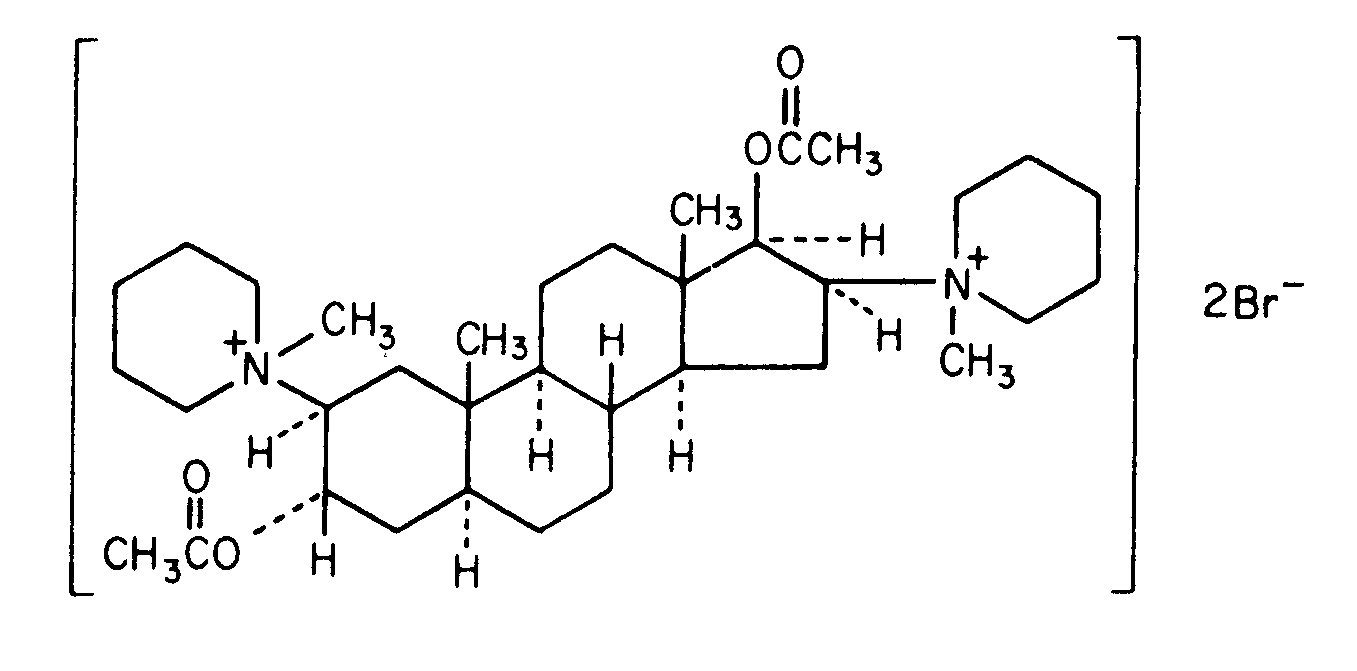
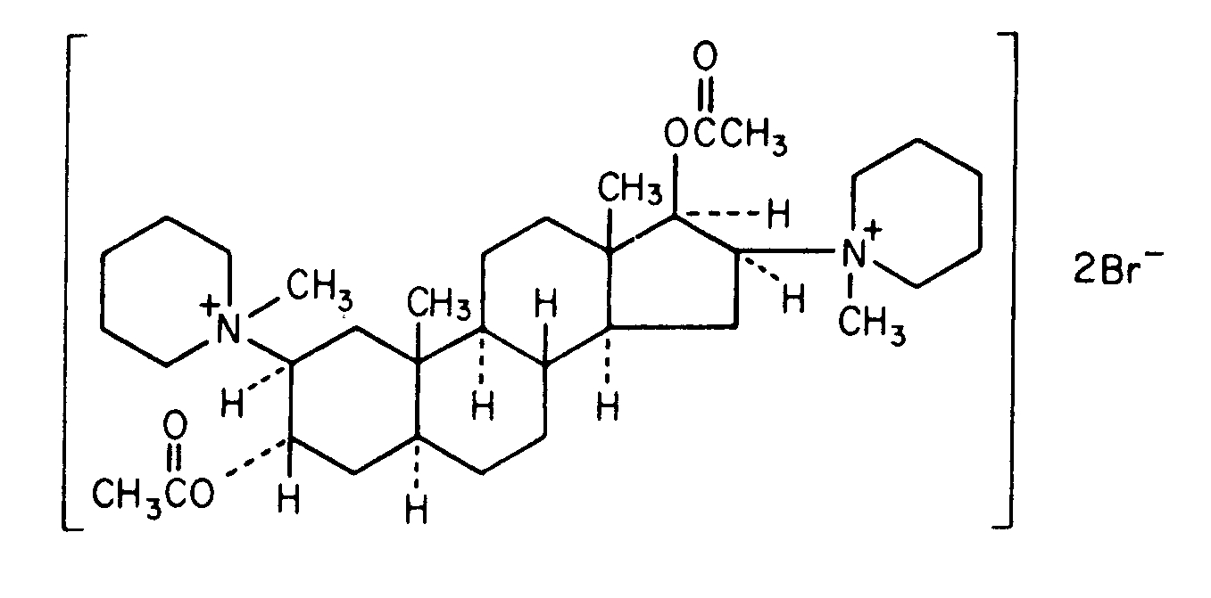
Curarisant   Pancuronium bromide  
injectable
Stabilité des solutions Stabilité en mélange Facteur influençant la stabilité Compatibilités Voie d’administration Bibliographie pdf
   Structure chimique  

Noms commerciaux   Noms commerciaux     

Les noms commerciaux sont donnés à titre indicatif et la composition en excipients peut être différente selon les pays et selon les laboratoires

Pancuronium bromide injection Allemagne, Canada, Egypte, Emirats Arabes Unis , Etats Unis d’Amérique, France, Grande Bretagne, Iran, Irlande, Nouvelle Zélande, Pologne
Voie d’administration   Voie d’administration :Pancuronium bromide     
Voie
Intraveineuse
Perfusion intraveineuse
Intramusculaire

  Mentions Légales