Zadnji put ažurirano :
27/01/2026
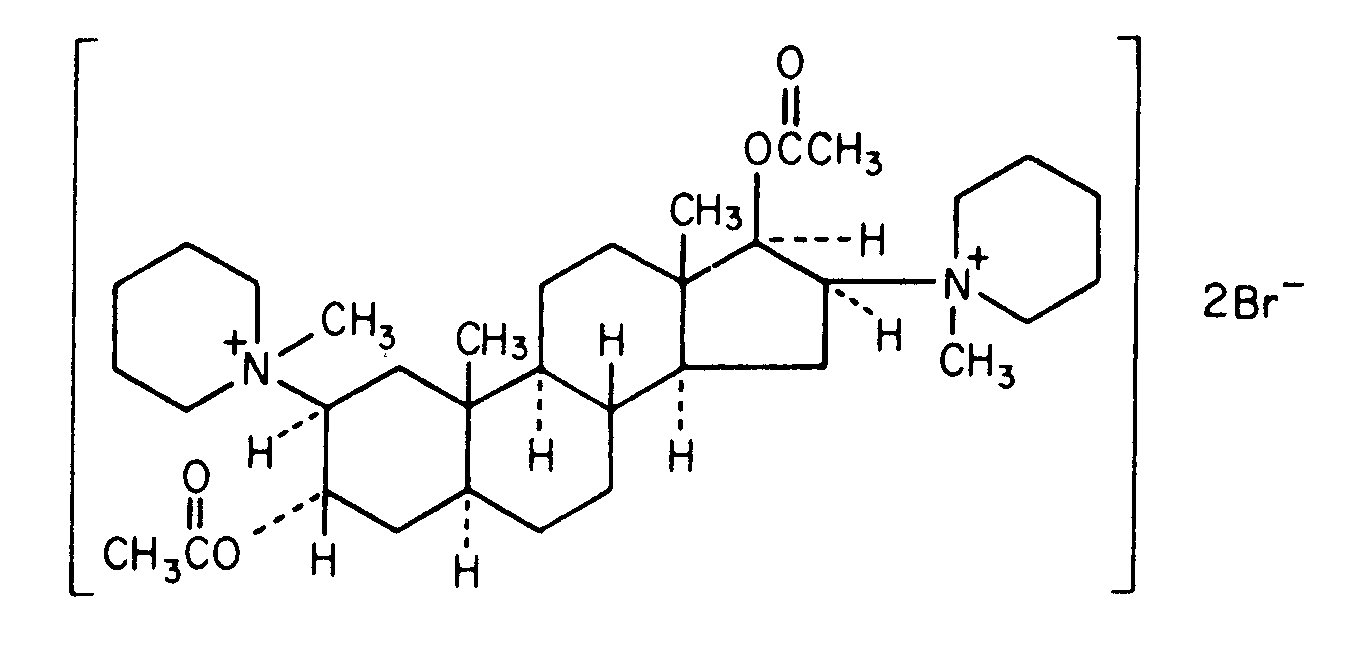
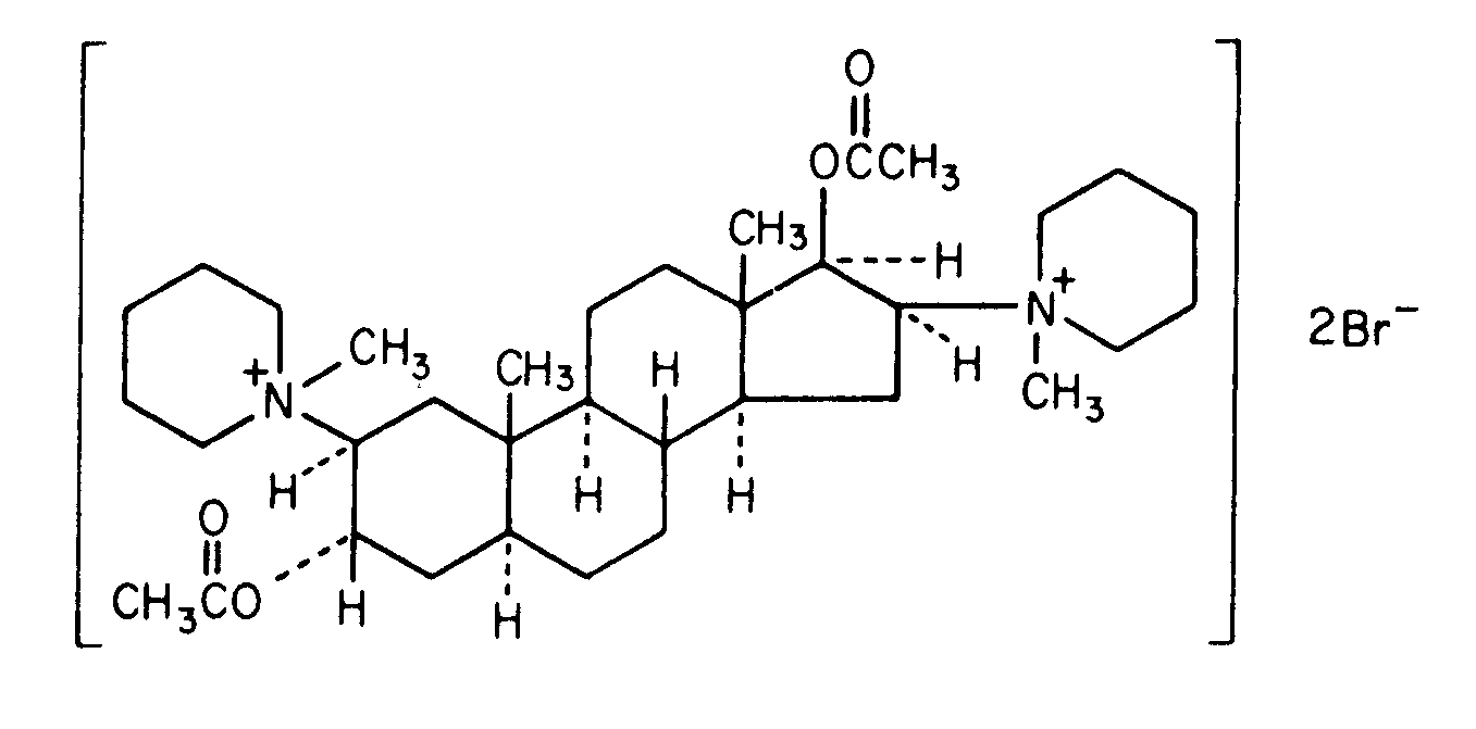
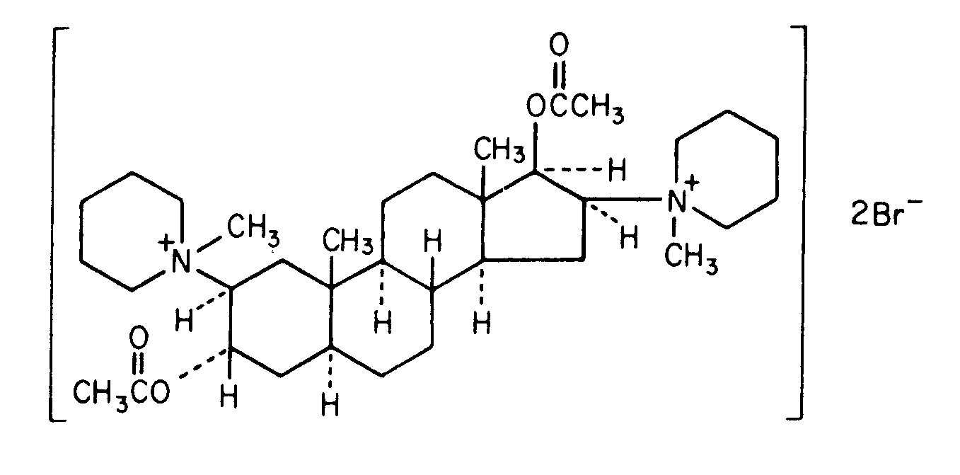
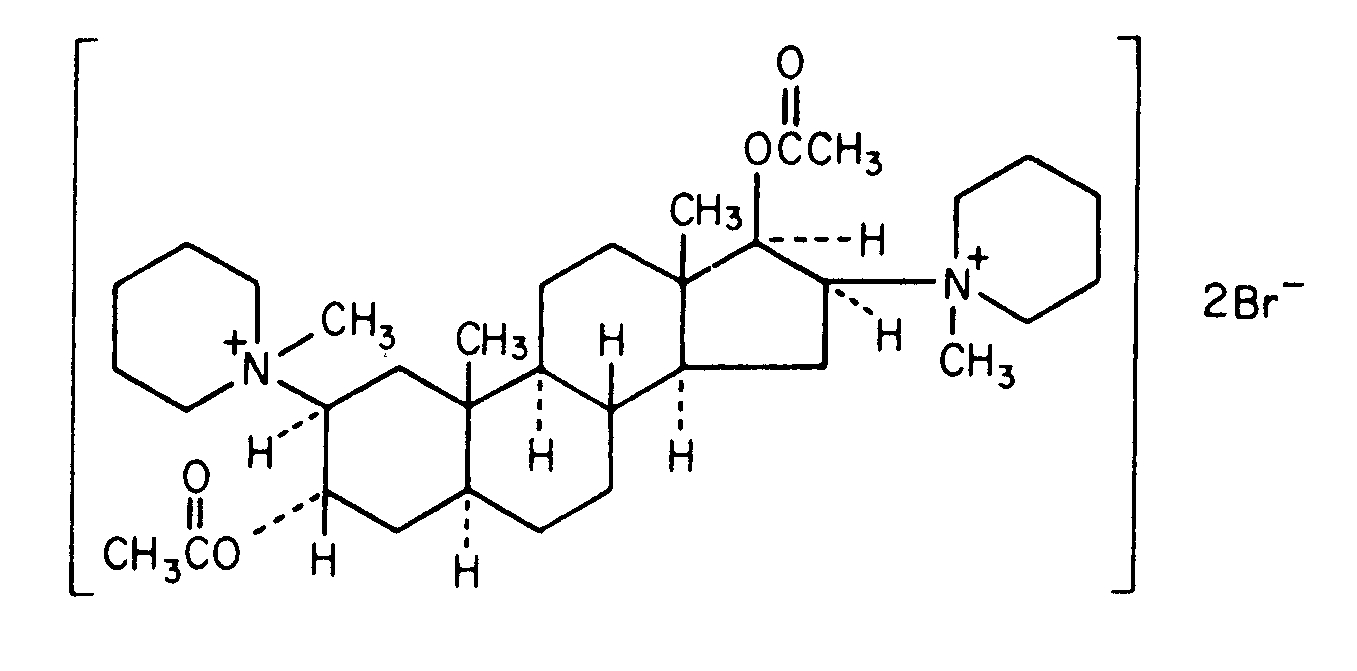
narkotizirajuće djelovanje pomoću kurarina   Pancuronium bromide  
injekcija
Stabilizacija rješenja Stabilnost mješavine Stabilizacijski faktor Kompatibilnosti način davanja lijeka Bibliografija pdf
   Kemijska struktura  

Nekomercijalni   Nekomercijalni     

Zaštićeni nazivi su indikativni i sastav ekscipijensa može biti različit ovisno o državi i laboratorijima

Pancuronium bromide injection Kanada, S A D
Stabilnost mješavine   injekcija   Stabilnost mješavine : Pancuronium bromide     
Kontejner sredstvo za rastapanje koncentracija molekula temperatura Konzerviranje Trajanje stabilnosti Bibliografija
čaša glukoza 5% 0,46 mg/ml
injekcija   Pancuronium bromide   
injekcija   Milrinone lactate 0,2 mg/ml
22°C-23°C
4 sat
svjetlost 813
Razina dokaza A

  Mentions Légales