Ultimele actualizari :
27/01/2026
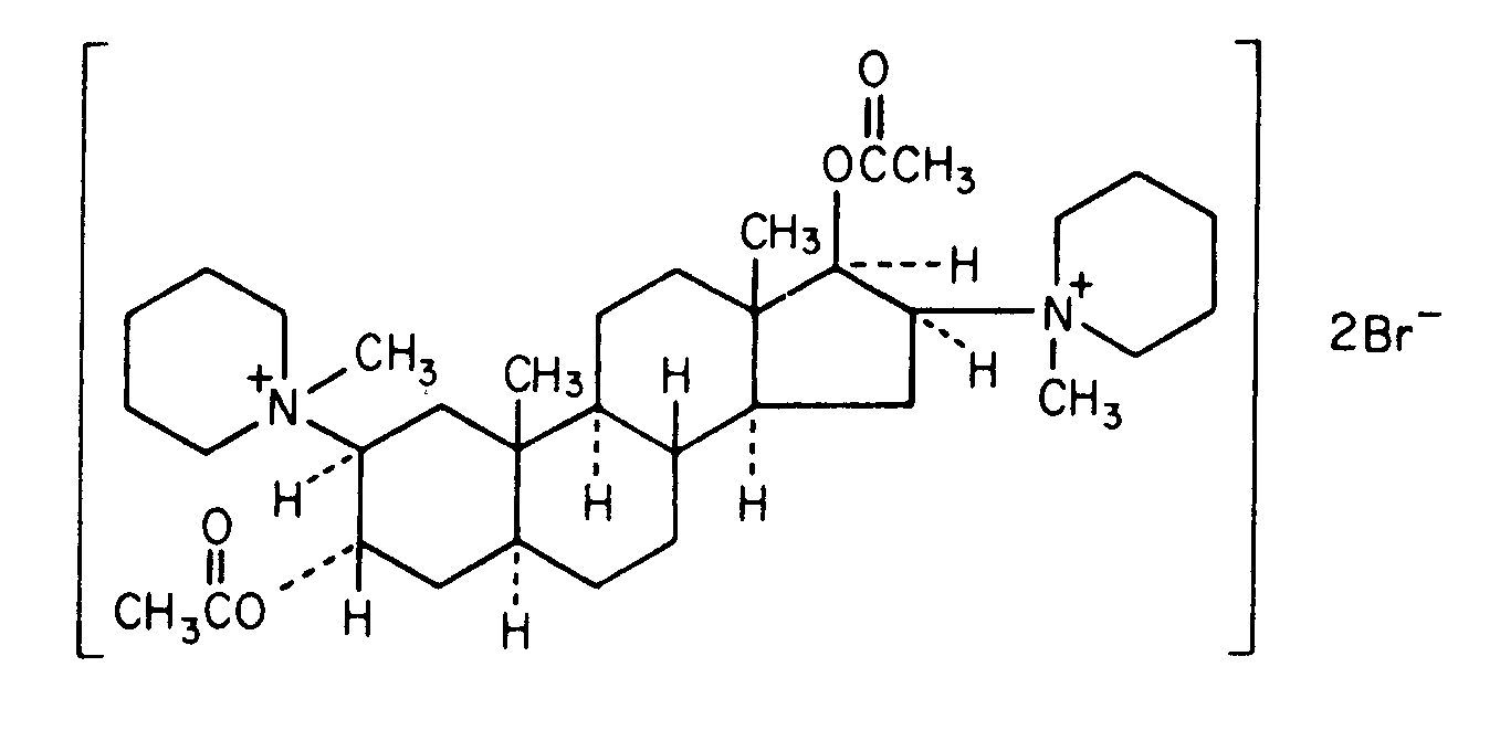
Curarizant   Pancuronium bromide  
Injectabil
Stabilitatea in solutie Stabilitatea in amestec Factorii care influenteaza stabilitatea Compatibilitate Microunde Bibliografie pdf
   Formula chimica  

Denumirea comerciala   Denumirea comerciala     

Trade names are indicative and excipients composition can be different depending on the country and manufacturers

Pancuronium bromide injection Canada, SUA
Stabilitatea in amestec   Injectabil   Stabilitatea in amestec : Pancuronium bromide     
Continut Solvent Concentratie Molecula (substanta activa) Temperatura Conservare Durata stabilității Bibiografie
sticla Glucoza 5% 0,46 mg/ml
Injectabil   Pancuronium bromide   
Injectabil   Milrinone lactate 0,2 mg/ml
22°C-23°C
4 Ora
Lumina 813
Nivel de evidență A

  Mentions Légales