Cập nhật lần cuối :
27/01/2026
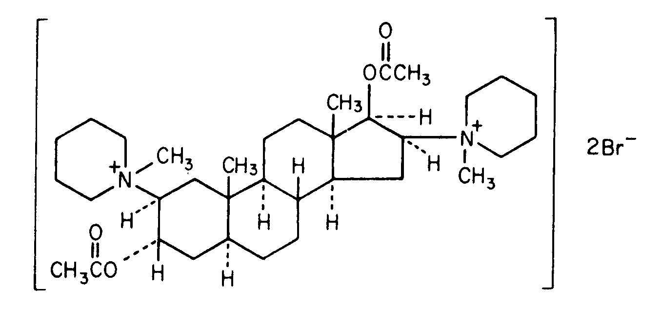
Thuốc khử cực giống cura   Pancuronium bromide  
Dạng tiêm
Tính ổn định của các dung dịch Độ ổn định khi trộn lẫn Những yếu tố ảnh hưởng đến độ ổn định Khả năng tương thích Đường dùng Tài liệu tham khảo Pdf
   Cấu trúc hóa học  

Tên thương mại   Tên thương mại     

Các tên thương mại được cung cấp và thành phần tá dược có thể khác nhau giữa các quốc gia và các hãng dược

Pancuronium bromide injection Canada, Hoa Kỳ
Độ ổn định khi trộn lẫn   Dạng tiêm   Độ ổn định khi trộn lẫn : Pancuronium bromide     
Bao bì Dung môi Nồng độ Phân tử Nhiệt độ Bảo quản Thời gian ổn định Mục lục
Thủy tinh Glucose 5% 0,46 mg/ml
Dạng tiêm   Pancuronium bromide   
Dạng tiêm   Milrinone lactate 0,2 mg/ml
22°C-23°C
4 Giờ
Ánh sáng 813
Cấp độ bằng chứng A

  Mentions Légales