Utolsó frissítés :
27/01/2026
Izombénító   Pancuronium bromide  
Injekció
Az oldatok stabilitása A keverékek stabilitása Stabilitást befolyásoló tényezők Kompatibilitás Az alkalmazás módja Irodalom pdf
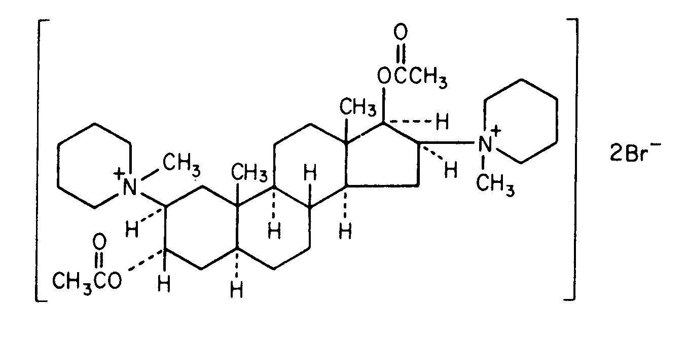
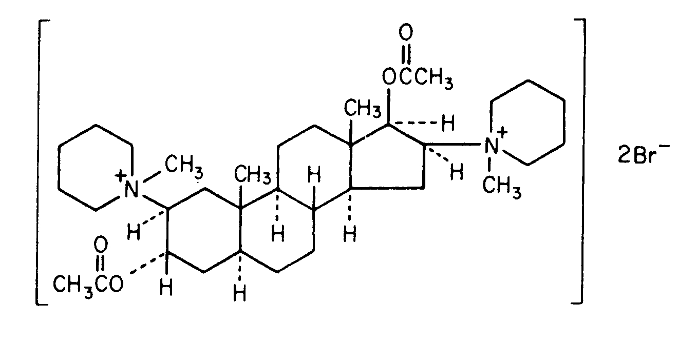
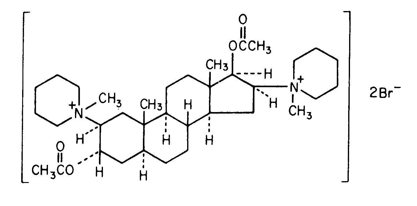
   Kémiai szerkezet   

Kereskedelmi név   Kereskedelmi név     

A kereskedelmi név meghatározó jelentőségű: a készítmények összetétele országonként, előállítóként eltérő lehet

Pancuronium bromide injection Amerikai Egyesült Államok, Kanada
A keverékek stabilitása   Injekció   A keverékek stabilitása : Pancuronium bromide     
Csomagolás Oldószer Koncentráció Vegyület Hőmérséklet Tárolás A stabilitás időtartama Irodalom
Üveg 5% glükóz 0,46 mg/ml
Injekció   Pancuronium bromide   
Injekció   Milrinone lactate 0,2 mg/ml
22°C-23°C
4 Óra
Fény 813
Szintű bizonyítékot A

  Mentions Légales