Poslední aktualizace :
27/01/2026
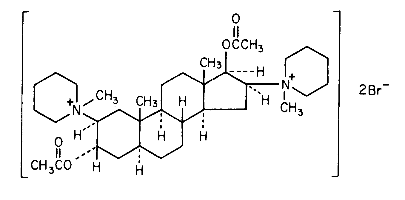
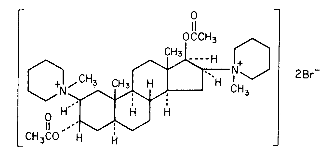
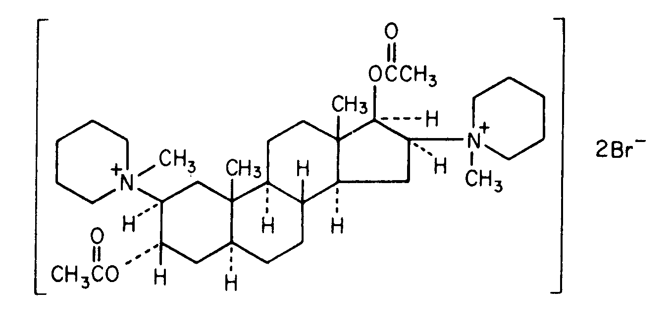
Kuraremimetický   Pancuronium bromide  
injekce
Stabilita roztoků Stabilita směsí Faktory ovlivňující stabilitu Kompatibilita Způsoby aplikace Odkazy pdf
   Chemický vzorec  

Obchodní název   Obchodní název     

Trade names are indicative and excipients composition can be different depending on the country and manufacturers

Pancuronium bromide injection Kanada, USA
Stabilita směsí   injekce   Stabilita směsí : Pancuronium bromide     
Obal RozpouötÏdlo Koncentrace SlouËenina Teplota Uchovávání Trvání stability Odkazy
Sklo GlukÛza 5% 0,46 mg/ml
injekce   Pancuronium bromide   
injekce   Milrinone lactate 0,2 mg/ml
22°C-23°C
4 Hodina
SvÏtlo 813
Úroveň zkoušky A

  Mentions Légales