Pēdējā atjaunošana :
27/01/2026
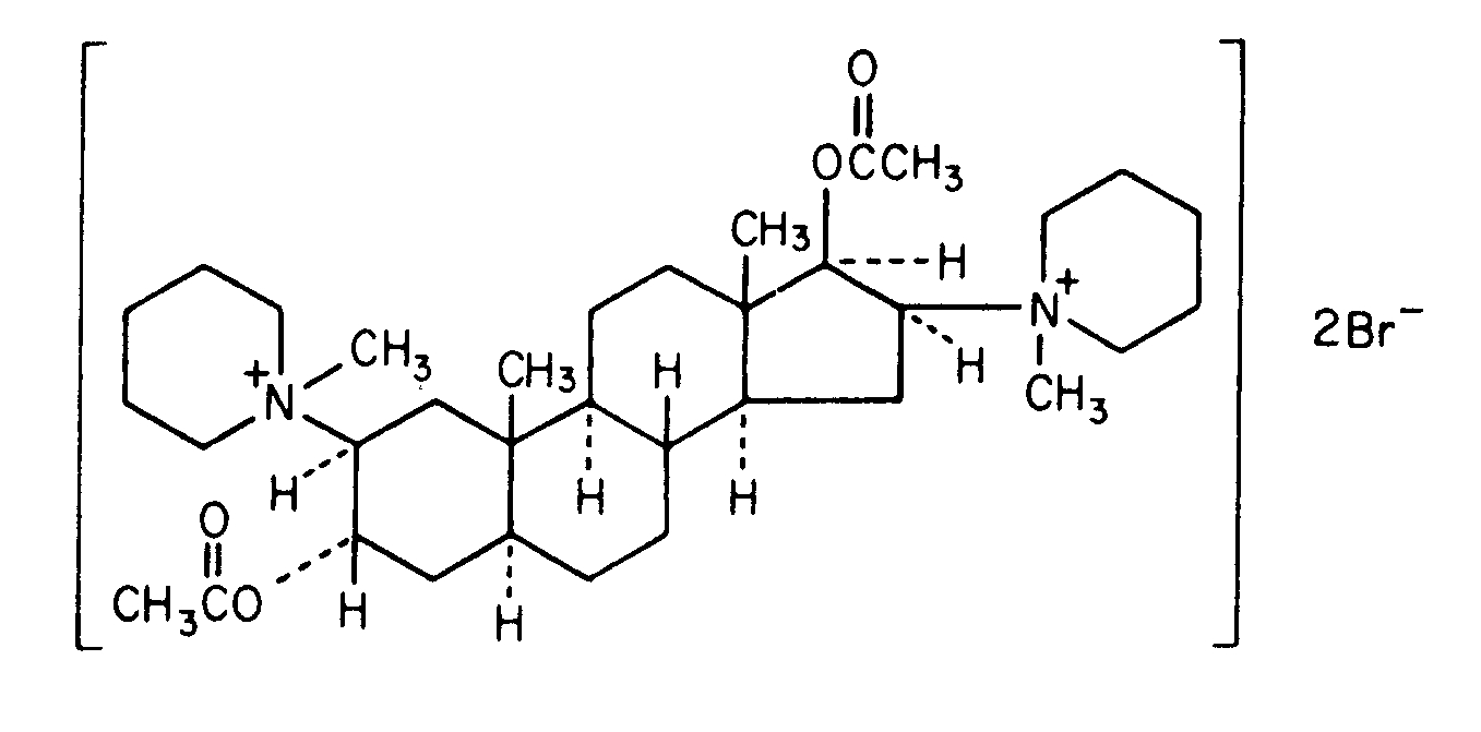
Kurarīnmimētiķis   Pancuronium bromide  
Injekcija
Šķīduma stabilitāte Maisījuma stabilitāte Stabilitāti ietekmējoši faktori Saderība Levadīšanas veids Literatūras saraksts pdf
   Ķīmiskā uzbūve   

Oriģinālais nosaukums   Oriģinālais nosaukums     

Tirdzniecības nosaukumi ir apzīmējoši un palīgvielas var atšķirties dažādām valstīm un laboratorijām

Pancuronium bromide injection Amerikas Savienotās Valstis, Kanāda
Maisījuma stabilitāte   Injekcija   Maisījuma stabilitāte : Pancuronium bromide     
Iepakojums Šķīdinātājs Koncentrācija Savienojums Temperatūra Glabāšana Stabilitātes ilgums Literatūras saraksts
Stikls 5% glikoze 0,46 mg/ml
Injekcija   Pancuronium bromide   
Injekcija   Milrinone lactate 0,2 mg/ml
22°C-23°C
4 Stunda
Gaisma 813
Pierādījumu līmenis A

  Mentions Légales