آخر تحديث :
27/01/2026
 أدوية علاجيه   Pancuronium bromide  
حقن
الاستقرار في حلول استقرار مخاليط العوامل التي تؤثر على الاستقرار التوافق طريقة التعاطي مراجع pdf
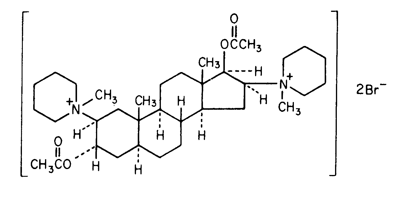
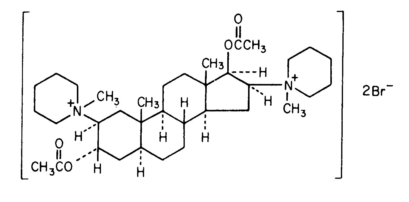
   التركيب الكيميائي  

حجز الاسم التجاري   حجز الاسم التجاري     

تحذير الأسماء التجاريه المختلفه قد تحتوي علي محتوي إضافات مختلفة حسب الدوله و المعمل

Pancuronium bromide injection الولايات المتحدة, كندا
استقرار مخاليط   حقن   استقرار مخاليط : Pancuronium bromide     
حاوية مذيب تركيز مركب درجة الحرارة تخزين مدة الاستقرار مراجع
زجاج الجلوكوز %5 0,46 mg/ml
حقن   Pancuronium bromide   
حقن   Milrinone lactate 0,2 mg/ml
22°C-23°C
4 ساعة
ضوء 813
A مستوى الأدلة

  Mentions Légales