Son güncelleme :
27/01/2026
Kurarimimetik   Pancuronium bromide  
Enjeksiyon
Çözeltilerin stabilitesi Karışımlardaki stabilitesi Stabiliteyi etkileyen faktörler Uyumluluk Uygulama yöntemi Kaynaklar pdf
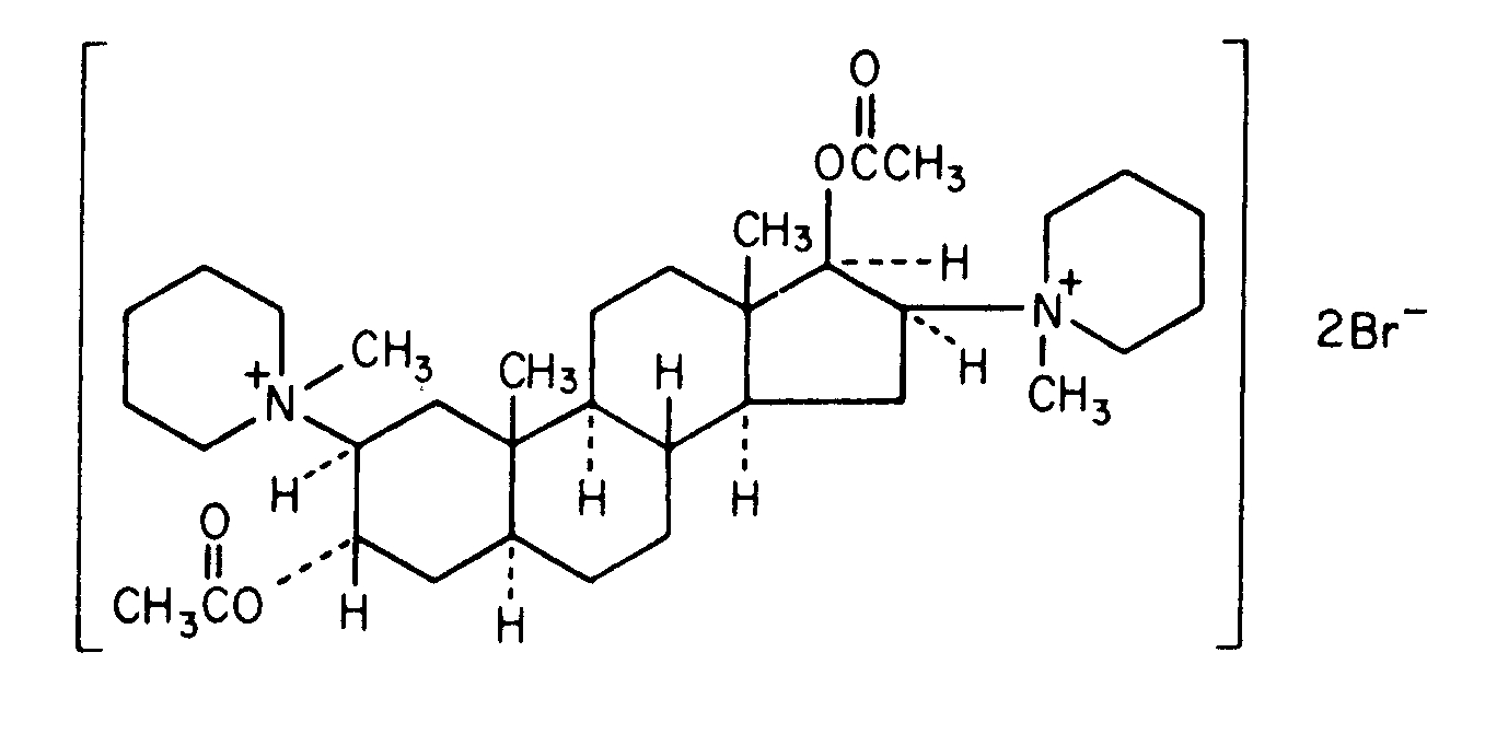
   Kimyasal yapı   

Ticari isim   Ticari isim     

Trade names are indicative and excipients composition can be different depending on the country and manufacturers

Pancuronium bromide injection Amerika Birleşik Devletleri, Kanada
Karışımlardaki stabilitesi   Enjeksiyon    Karışımlardaki stabilitesi : Pancuronium bromide     
Saklama kabı Çözücü Konsantrasyon Bileşik Isı Saklama    Stabilite süresi Kaynaklar
Cam Glukoz %5 0,46 mg/ml
Enjeksiyon   Pancuronium bromide   
Enjeksiyon   Milrinone lactate 0,2 mg/ml
22°C-23°C
4 Zaman
I_ık 813
Kanıt düzeyi A

  Mentions Légales