zadnja posodobitev :
27/01/2026
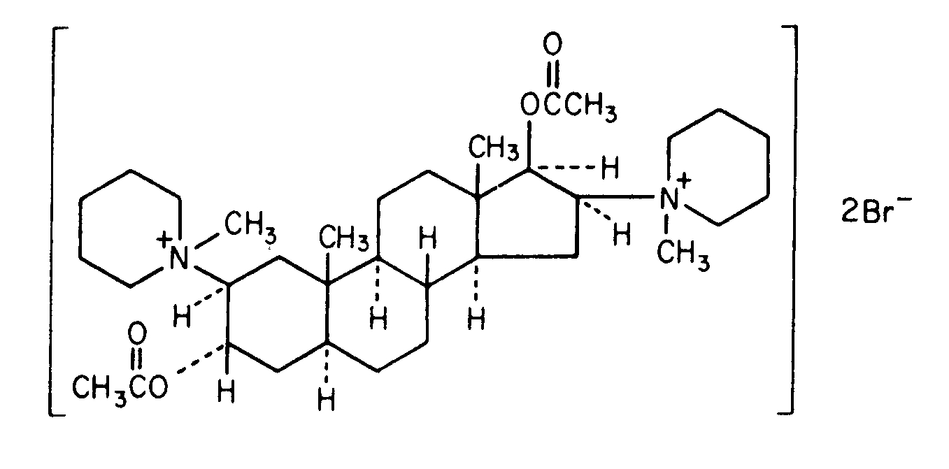
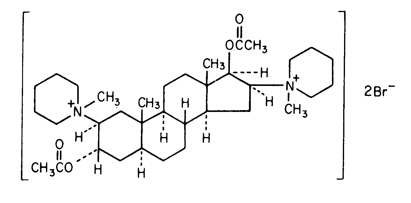
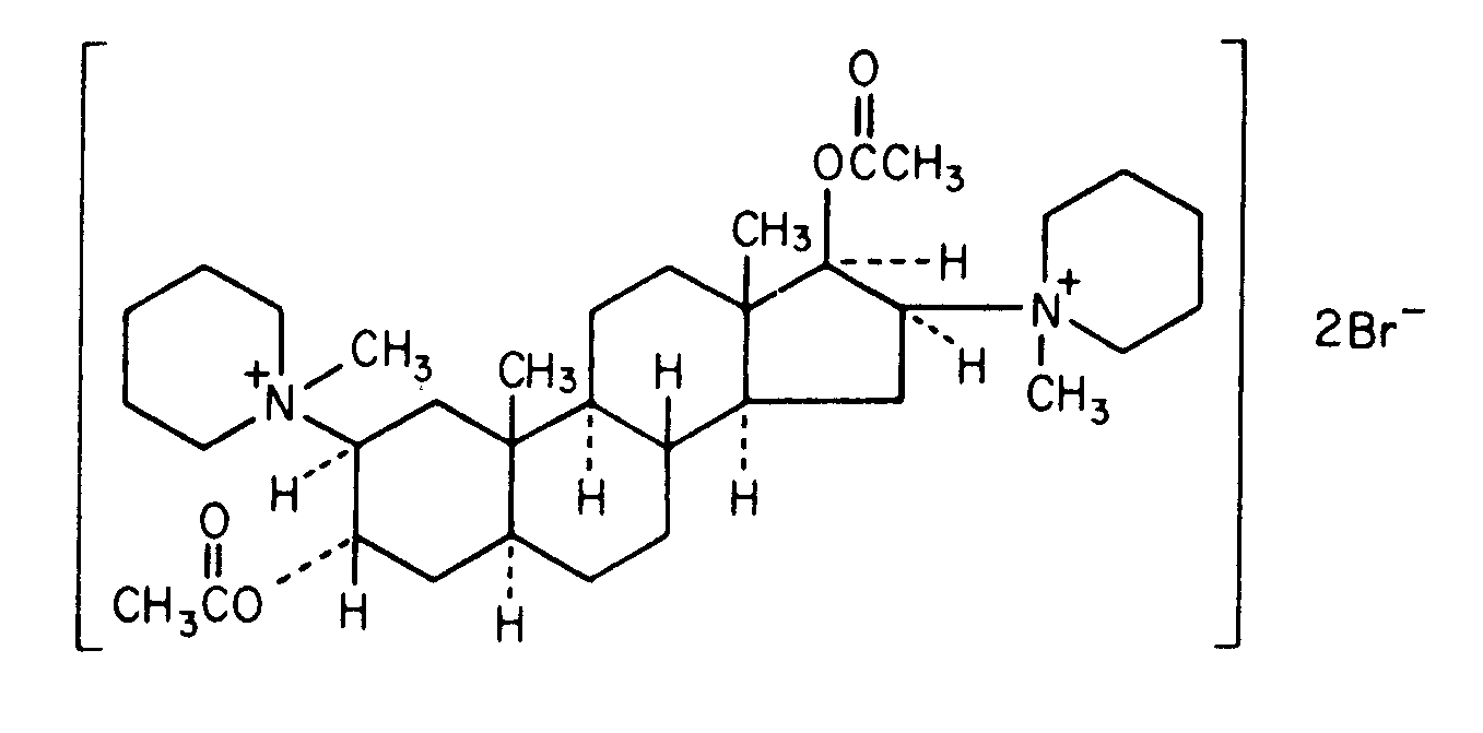
Kurarimetik   Pancuronium bromide  
Brizgalka
Stabilnost raztopine Stabilnost mešanice Faktorji, ki vplivajo na stabilnost Kompatibilnost način aplikacije Viri pdf
   Kemična formula  

Lastniško ime   Lastniško ime     

Sestava pomožnih snovi je med paralelami lahko različna

Pancuronium bromide injection Kanada, Združene države Amerike
Stabilnost mešanice   Brizgalka   Stabilnost mešanice : Pancuronium bromide     
Vsebnik Topilo Koncentracija Sestava Temperatura Shranjevanje Trajanje stabilnosti Viri
Steklo Glukoza 5% 0,46 mg/ml
Brizgalka   Pancuronium bromide   
Brizgalka   Milrinone lactate 0,2 mg/ml
22°C-23°C
4 čas
Svetloba 813
 Stopnja dokaza A

  Mentions Légales