zadnja posodobitev :
27/04/2026
Kurarimetik   Pancuronium bromide  
Brizgalka
Stabilnost raztopine Stabilnost mešanice Faktorji, ki vplivajo na stabilnost Kompatibilnost način aplikacije Viri pdf
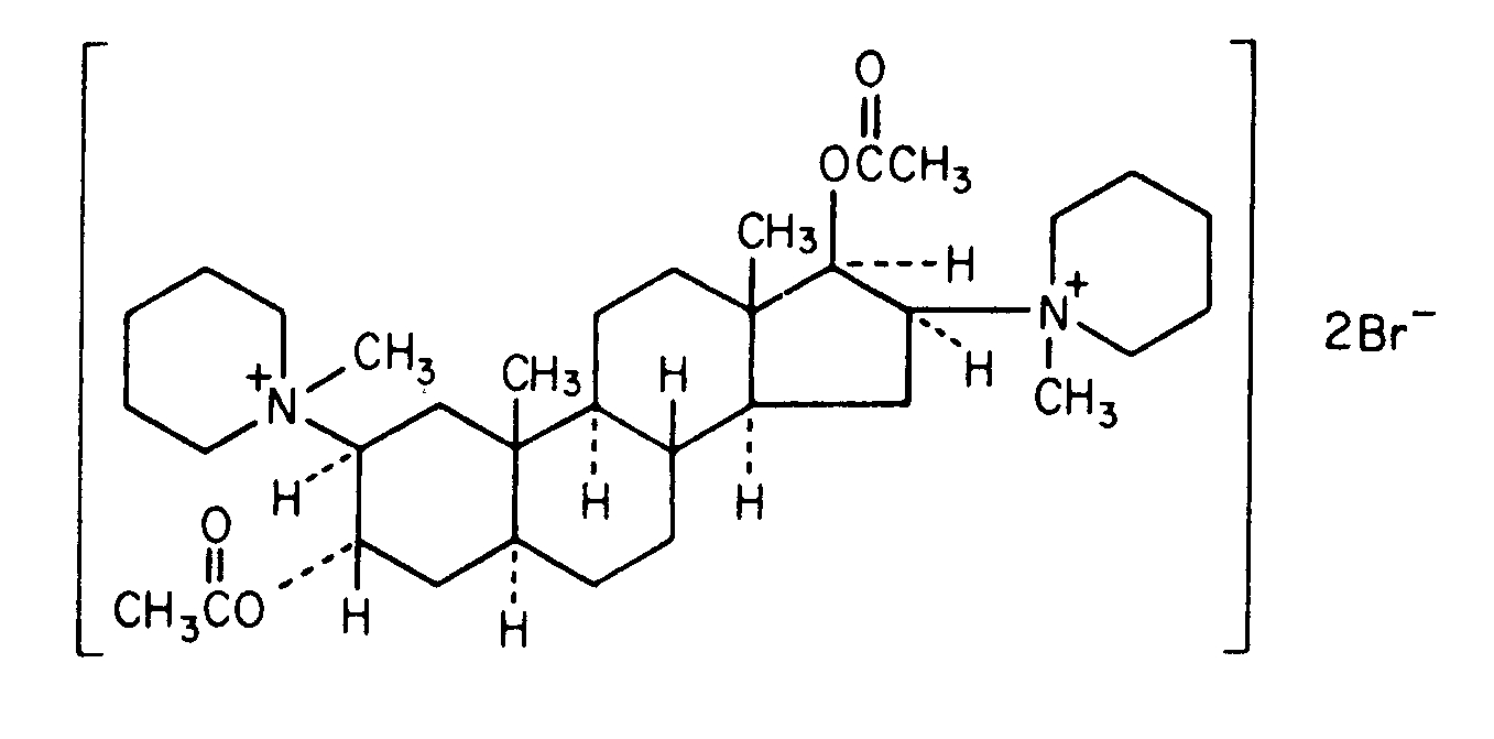
   Kemična formula  

Lastniško ime   Lastniško ime     

Sestava pomožnih snovi je med paralelami lahko različna

Pancuronium bromide injection Egipt, Francija, Iran, Irska, Kanada, Nemčija, nova Zelandija, Poljska, Velika Britanija, Združene države Amerike, Združeni arabski emirati
način aplikacije   način aplikacije :Pancuronium bromide     
Voie
Intravensko
Intravenska infuzija
Intramuskularno

  Mentions Légales