Poslední aktualizace :
27/04/2026
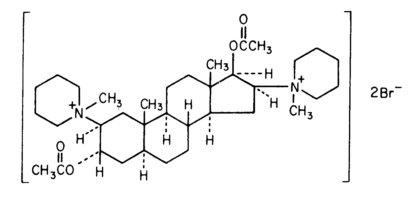
Kuraremimetický   Pancuronium bromide  
injekce
Stabilita roztoků Stabilita směsí Faktory ovlivňující stabilitu Kompatibilita Způsoby aplikace Odkazy pdf
   Chemický vzorec  

Obchodní název   Obchodní název     

Trade names are indicative and excipients composition can be different depending on the country and manufacturers

Pancuronium bromide injection Egypt, Francie, Írán, Irsko, Kanada, NÏmecko, nový Zéland, Polsko, Spojené arabské emiráty, USA, Velká Británie
Způsoby aplikace   Způsoby aplikace :Pancuronium bromide     
Voie
intravenÛznÏ
Intravenózní infúze
intramuskulárně

  Mentions Légales