Останнє оновлення :
27/04/2026
Курариміметик   Pancuronium bromide  
ін'єкція
Стійкість в розчинах Стійкість сумішей Фактори, що впливають на стабільність Сумісність Шлях введення Список літератури pdf
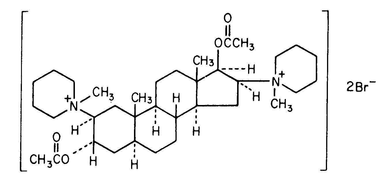
   Хімічна структура  

Торгова назва   Торгова назва     

Торгові назви є орієнтовними, а склад допоміжних речовин може бути різним залежно від країни та виробника

Pancuronium bromide injection Єгипет, Іран, Ірландія, Великобританія, Канада, Німеччина, Нова Зеландія, Об'єднані Арабські Емірати, Польща, Сполучені Штати Америки, Франція
Шлях введення   Шлях введення :Pancuronium bromide     
Маршрут
Внутрішньовенне
Внутрішньовенне вливання
Внутрішньом'язове

  Mentions Légales