Senaste uppdateringen :
27/04/2026
Muskel avslappande medel   Pancuronium bromide  
injektion
Lösningars stabilitet Stabilitet i blandningar Faktorer som påverkar stabiliteten Kompatibilitet Administreringssätt Hänvisningar pdf
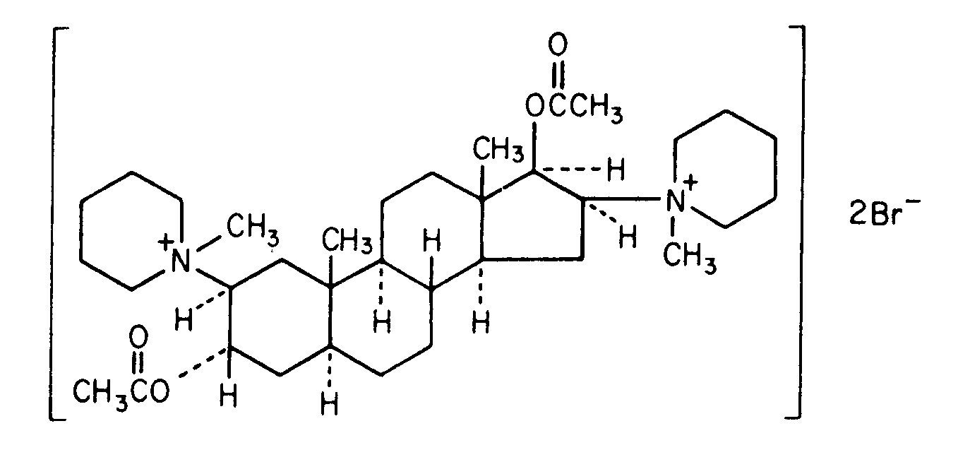
   Molekylstruktur  

Varunamn   Varunamn     

Angivna handelsnamn på läkemedel är enbart vägledande då formulering inklusive hjälpämnen kan variera mellan länder och tillverkare

Pancuronium bromide injection Egypten, Förenade Arabemiraten, Förenta Staterna, Frankrike, Iran, Irland, Kanada, nya Zeeland, Polen, Storbritannien, Tyskland
Administreringssätt   Administreringssätt :Pancuronium bromide     
Voie
Intravenös
Intravenös infusion
Intramuskulär

  Mentions Légales