Last update :
27/04/2026
Curarimimetic   Pancuronium bromide  
injection
Stability in solutions Stability of mixtures Factors which affect stability Compatibility Route of administration References pdf
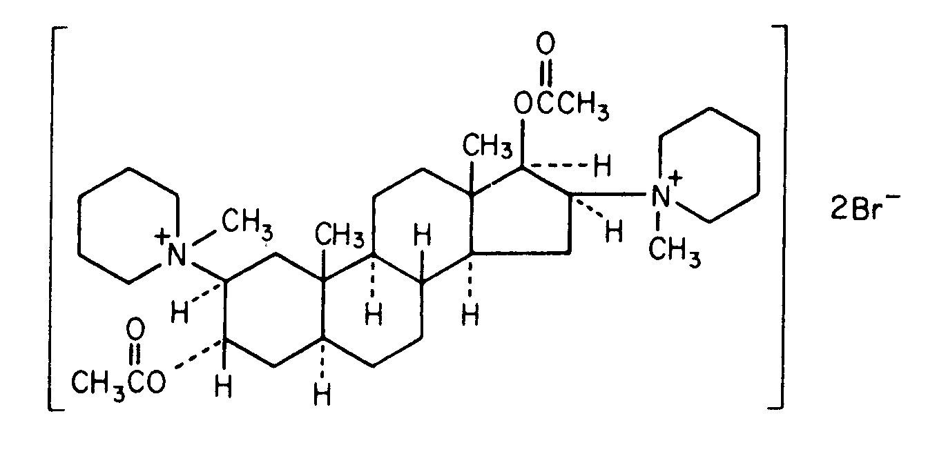
   Chemical structure  

Tradename   Tradename     

Trade names are indicative and excipients composition can be different depending on the country and manufacturers

Pancuronium bromide injection Canada, Egypt, France, Germany, Great Britain, Iran, Ireland, New Zealand, Poland, United Arab Emirates, United States of America
Route of administration   Route of administration :Pancuronium bromide     
Route
Intravenous
Intravenous infusion
Intramuscular

  Mentions Légales