Cập nhật lần cuối :
27/04/2026
Thuốc khử cực giống cura   Pancuronium bromide  
Dạng tiêm
Tính ổn định của các dung dịch Độ ổn định khi trộn lẫn Những yếu tố ảnh hưởng đến độ ổn định Khả năng tương thích Đường dùng Tài liệu tham khảo Pdf
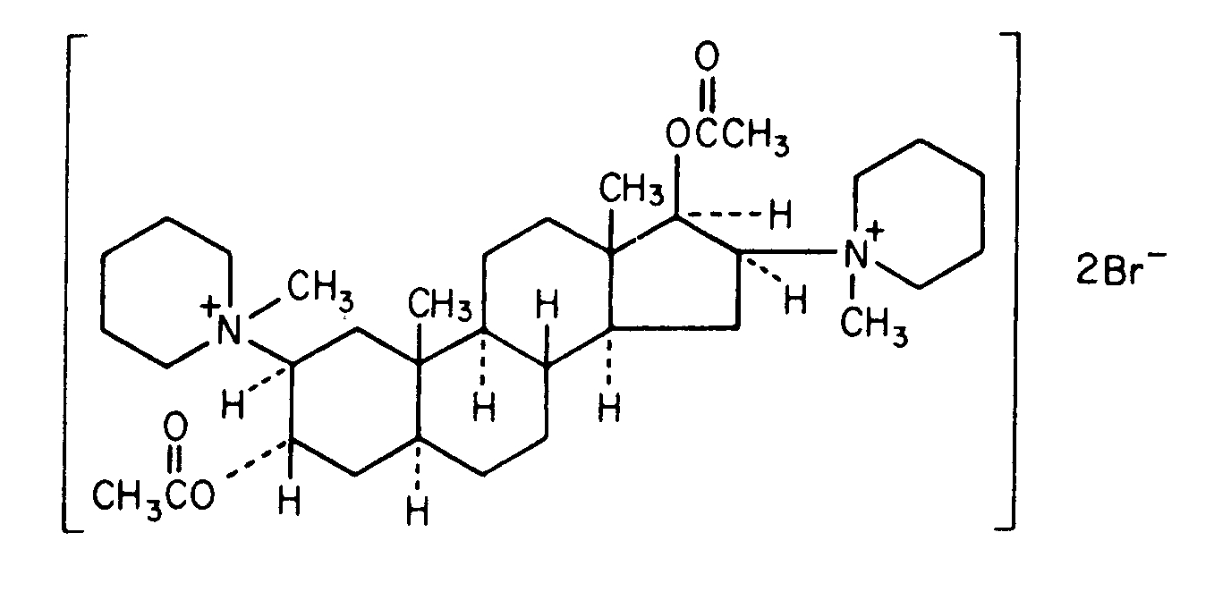
   Cấu trúc hóa học  

Tên thương mại   Tên thương mại     

Các tên thương mại được cung cấp và thành phần tá dược có thể khác nhau giữa các quốc gia và các hãng dược

Pancuronium bromide injection Ả Rập, Anh, Ba Lan, Canada, Hoa Kỳ, Iran, Ireland, new zealand, Pháp, United Arab Emirates, Đức
Đường dùng   Đường dùng :Pancuronium bromide     
Đường dùng
Tiêm tĩnh mạch
Truyền tĩnh mạch
Tiêm bắp

  Mentions Légales