viimane versioon :
27/04/2026
Kuraare-taoline  ravim   Pancuronium bromide  
Süsteravim
Stabiilsus lahustes Stabiilsust mõjutavad tegurid stabiilsust mõjutavad faktorid Sobimatus Manustamis viis Viited pdf
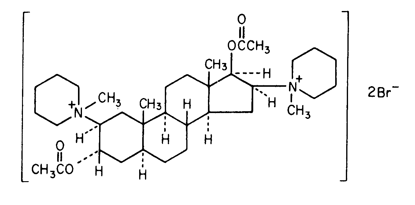
   keemiline struktuur  

Kaubanduslikud nimed erinevates maades   Kaubanduslikud nimed erinevates maades     

Preparaatide nimed on näitlikud ja abianete sisaldus võib erineda sõltuvalt riigist ja laborist

Pancuronium bromide injection Ameerika ühendriigid, Araabia Ühendemiraadid, Egiptus, Iirimaa, Iraan, Kanada, Poola, Prantsusmaa, Saksamaa, Suurbritannia, uus-Meremaa
Manustamis viis   Manustamis viis :Pancuronium bromide     
Voie
intravenoosne
intravenoosne infusioon
intramuskulaarne

  Mentions Légales