Última actualización :
27/04/2026
Curarizante   Pancuronium bromide  
Inyectables
Estabilidad en solucion Estabilidad en mezcla Factores que influyen sobre la estabilidad Compatibilidades método de inyección Bibliografía pdf
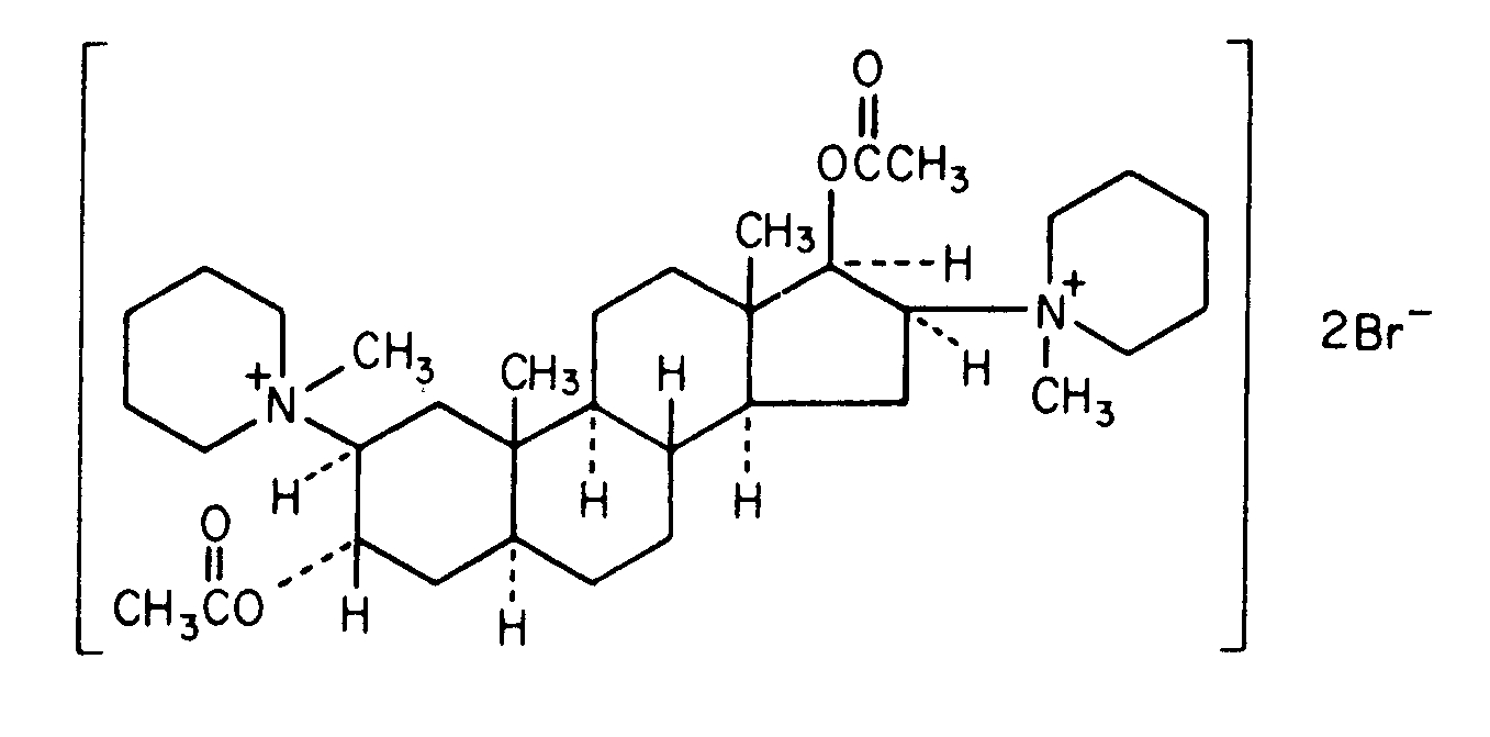
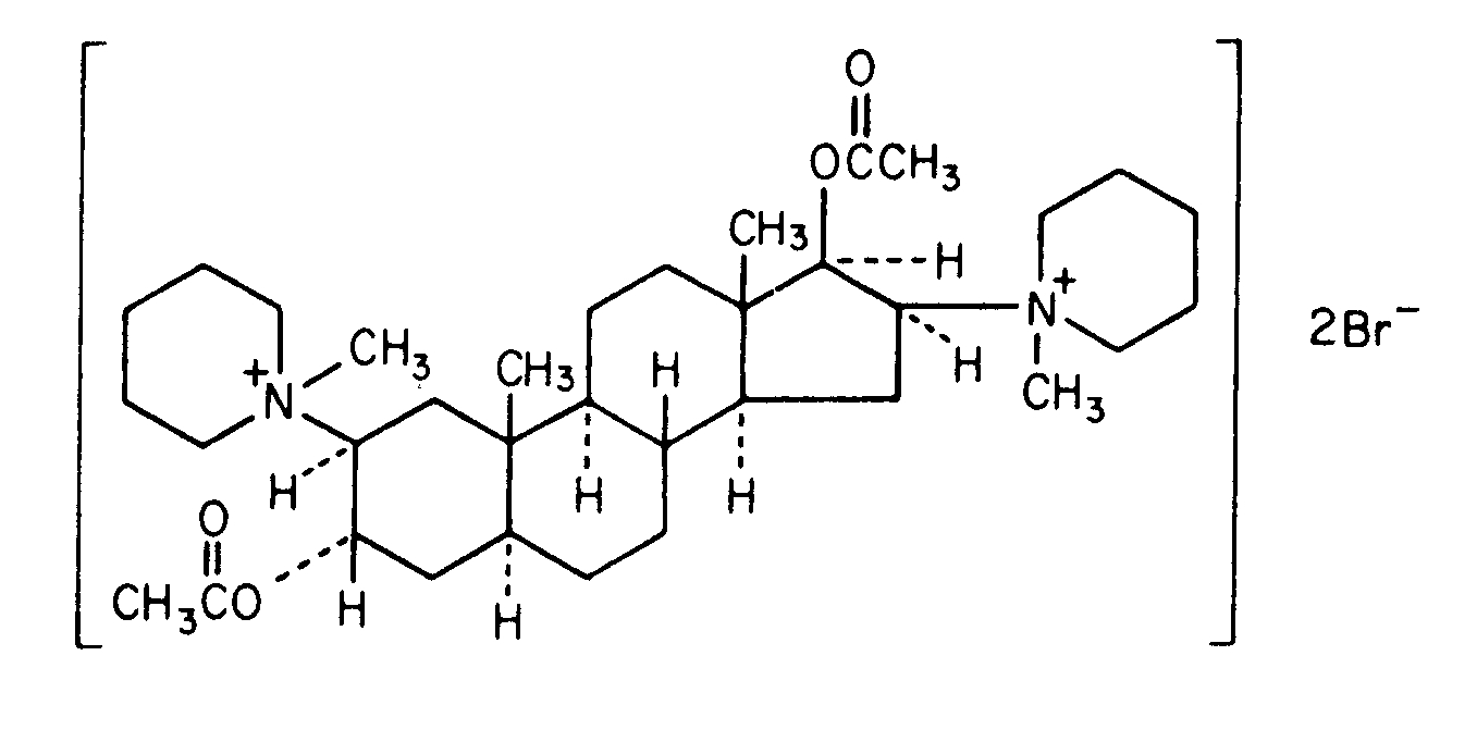
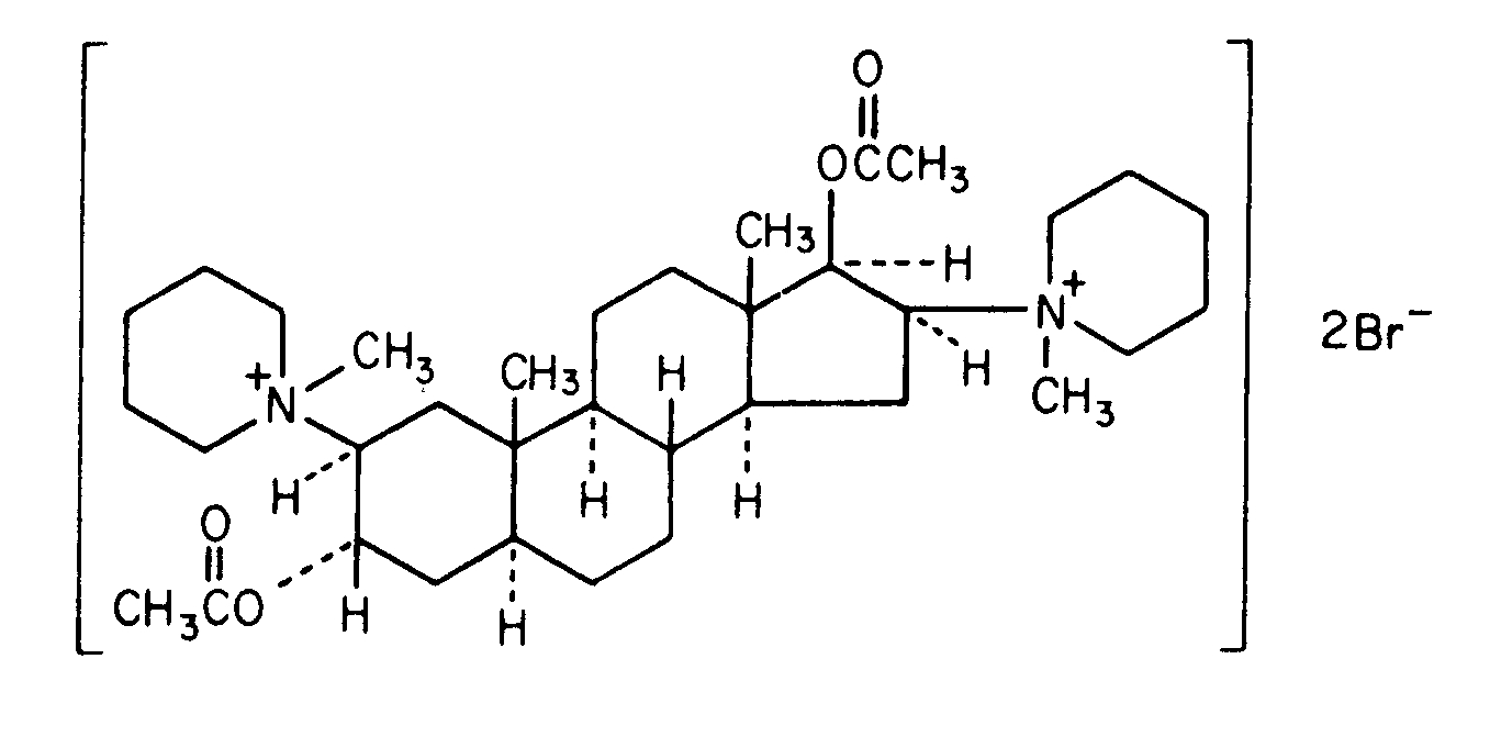
   Estructura química  

Nombre comercial   Nombre comercial     

Los nombres comerciales son orientativos y los excipientes de la formulación pueden ser distintos dependiendo del país y del laboratorio fabricante.

Pancuronium bromide injection Alemania, Canadá, Egipto, Emiratos Árabes Unidos, Estados Unidos de América, Francia, Gran Bretaña, Irán, Irlanda, Nueva Zelanda, Polonia
método de inyección   método de inyección :Pancuronium bromide     
Voie
Intravenoso
Perfusión intravenosa
Intramuscular

  Mentions Légales