Τελευταία ενημέρωση :
27/04/2026
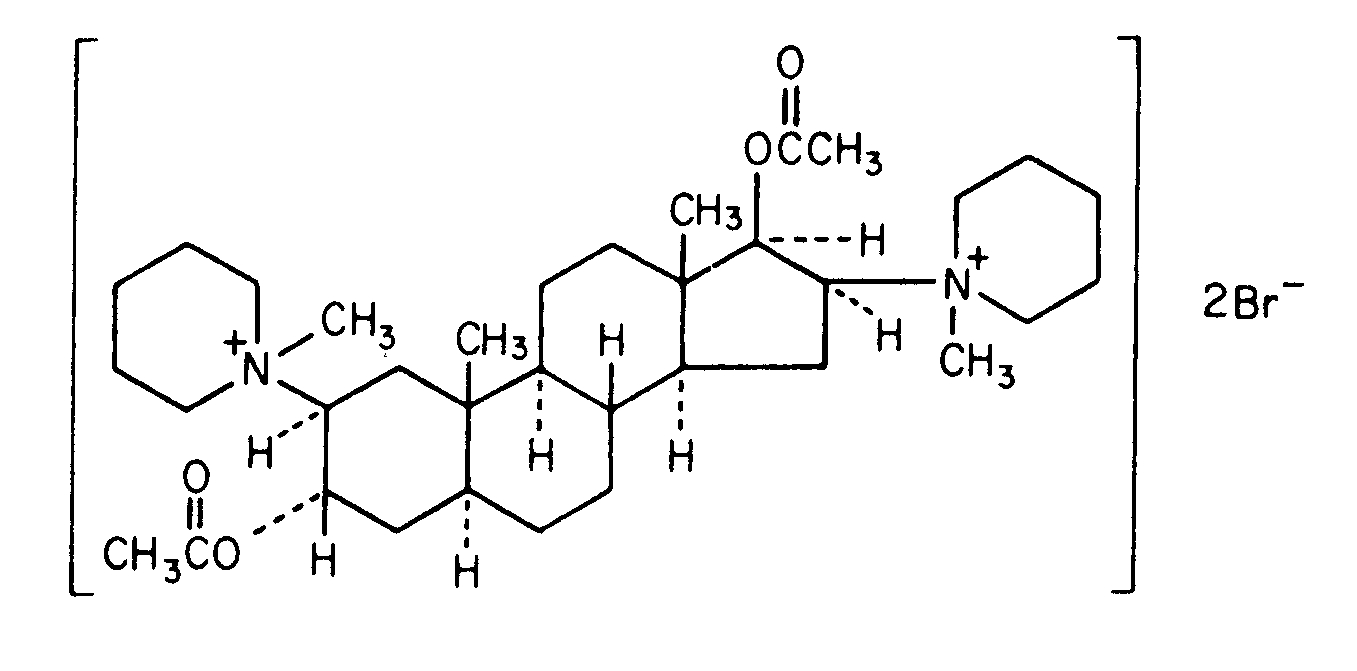
Κουραριομιμητικό   Pancuronium bromide  
Ενέσιμο
Σταθερότητα διαλυμάτων Σταθερότητα σε μίγματα Παράγοντας που επηρεάζει τη σταθερότητα Συμβατότητες Τρόπος χορήγησης Βιβλιογραφία pdf
   χημική δομή  

Εμπορική ονομασία   Εμπορική ονομασία     

Οι εμπορικές ονομασίες είναι ενδεικτικές και η σύνθεση των εκδόχων μπορεί να διαφέρει ανάλογα με τη χώρα και τα εργαστήρια

Pancuronium bromide injection Yhdistyneet arabiemiirikunnat, Αίγυπτος, Γαλλία, Γερμανία, Η.Π.Α., Ιράν, Ιρλανδία, Καναδάς, Μεγάλη Βρετανία, νέα Ζηλανδία, Πολωνία
Τρόπος χορήγησης   Τρόπος χορήγησης :Pancuronium bromide     
Voie
Ενδοφλέβια
Ενδοφλέβια έκχυση
Ενδομυϊκή

  Mentions Légales