Ostatnia aktualizacja :
27/04/2026
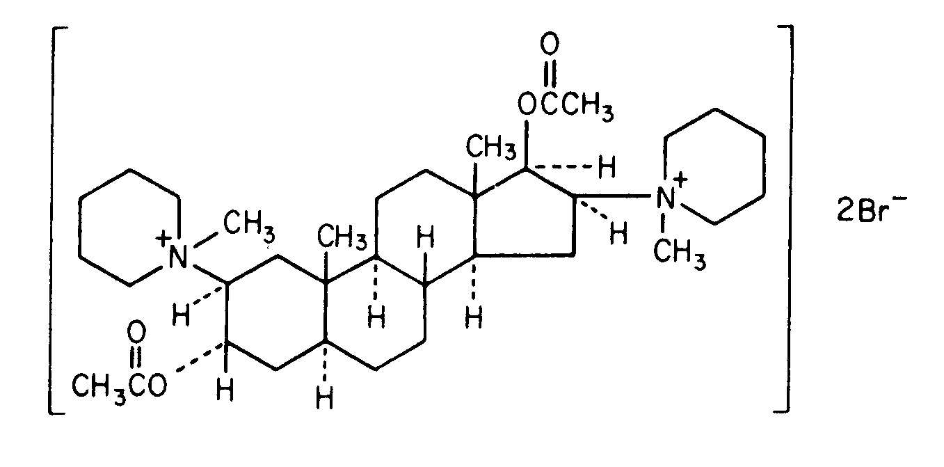
Lek kuraropodobny   Pancuronium bromide  
Injekcje
Trwałość roztworów Trwałość w mieszaninie Czynnik wpływający na trwałość Zgodność Sposób podania Bibliografia pdf
   Struktura chemiczna  

Nazwa handlowa   Nazwa handlowa     

Trade names are indicative and excipients composition can be different depending on the country and manufacturers

Pancuronium bromide injection Egipt, Francja , Iran, Irlandia, Kanada, Niemcy, nowa Zelandia, Polska, Stany Zjednoczone Ameryki, Wielka Brytania, Zjednoczone Emiraty Arabskie
Sposób podania   Sposób podania :Pancuronium bromide     
Voie
Podanie dożylne
Wlew dożylny
Podanie domięśniowe

  Mentions Légales