Ultimele actualizari :
27/04/2026
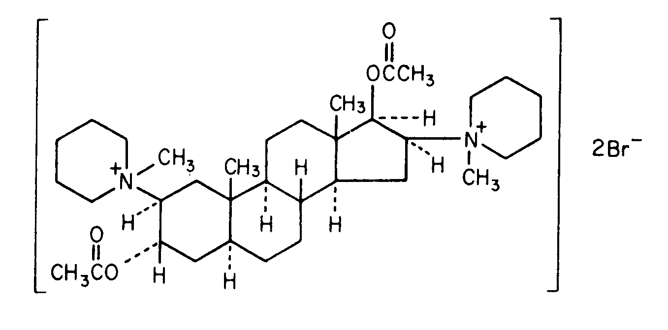
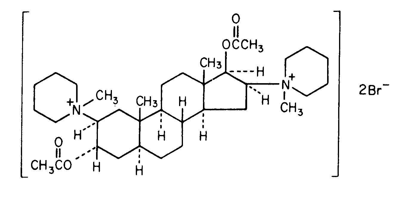
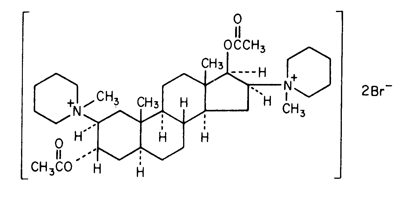
Curarizant   Pancuronium bromide  
Injectabil
Stabilitatea in solutie Stabilitatea in amestec Factorii care influenteaza stabilitatea Compatibilitate Microunde Bibliografie pdf
   Formula chimica  

Denumirea comerciala   Denumirea comerciala     

Trade names are indicative and excipients composition can be different depending on the country and manufacturers

Pancuronium bromide injection Canada, Egipt, Emiratele Arabe Unite, Franta, Germania, Iran, Irlanda, Marea Britanie, noua Zeelandă, Polonia, SUA
Microunde   Microunde :Pancuronium bromide     
Voie
Intravenos
Perfuzie intravenoasa
Intra-muscular

  Mentions Légales