Viimeisin päivitys :
27/04/2026
Lihasrelaksantit   Pancuronium bromide  
Injektioneste
Stabilius liuoksessa Stabilius seoksissa Tekijät, jotka vaikuttavat stabiliuteen Yhteensopivuus Antotapa Viitteet pdf
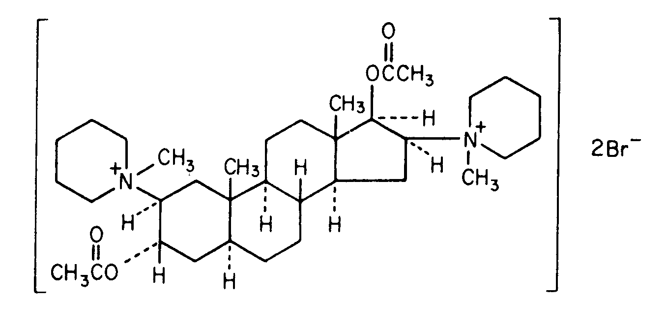
   Kemiallinen rakenne  

Kauppanimi   Kauppanimi     

Trade names are indicative and excipients composition can be different depending on the country and manufacturers

Pancuronium bromide injection Egypti, Iran, Irlanti, Iso-Britannia, Kanada, New Zealand, Puola, Ranska, Saksa, Yhdistyneet arabiemiirikunnat, Yhdysvallat
Antotapa   Antotapa :Pancuronium bromide     
Voie
Intravenoosi
Intravenoosi-infuusio
Intramuskulaarinen

  Mentions Légales