Utolsó frissítés :
27/04/2026
Izombénító   Pancuronium bromide  
Injekció
Az oldatok stabilitása A keverékek stabilitása Stabilitást befolyásoló tényezők Kompatibilitás Az alkalmazás módja Irodalom pdf
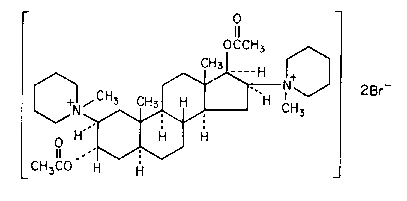
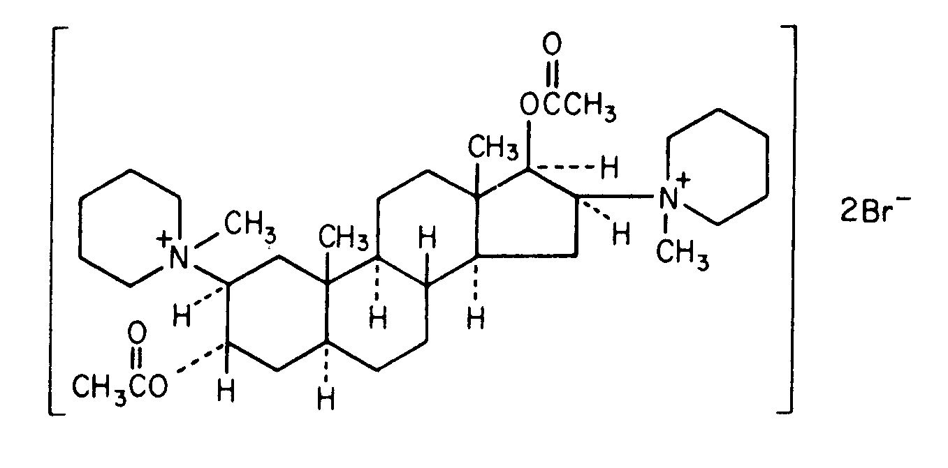
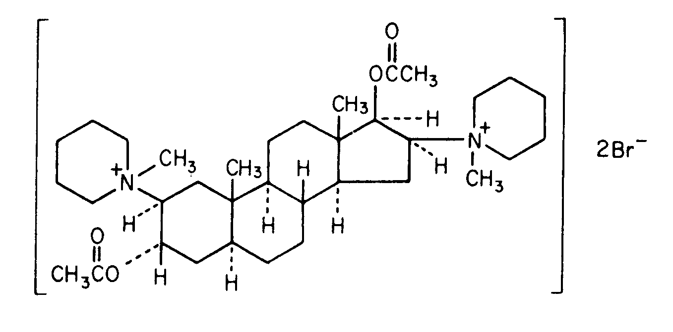
   Kémiai szerkezet   

Kereskedelmi név   Kereskedelmi név     

A kereskedelmi név meghatározó jelentőségű: a készítmények összetétele országonként, előállítóként eltérő lehet

Pancuronium bromide injection Amerikai Egyesült Államok, Egyesült Arab Emírségek, Egyiptom, Franciaország, Irán, Írország, Kanada, Lengyelország, Nagy-Britannia, Németország, új-Zéland
Az alkalmazás módja   Az alkalmazás módja :Pancuronium bromide     
Voie
Intravénás
Intravénás infúzió
Intramuszkuláris

  Mentions Légales