Seneste opdatering :
27/04/2026
Curamimetisk   Pancuronium bromide  
Injektion
Stabilitet i (vandige) opløsninger Stabilitet i blandinger Faktorer der påvirker stabiliteten Kompatibilitet Administrationsvej Bibliografi pdf
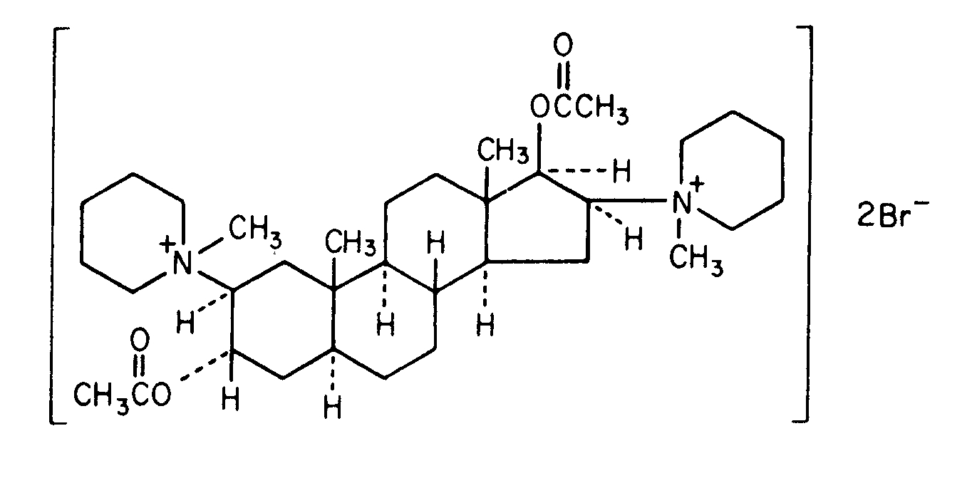
   Kemisk struktur  

Handelsnavn   Handelsnavn     

Handel navne er vejledende og hjælpestoffer sammensætning kan være forskellig afhængigt af landet og laboratorier

Pancuronium bromide injection Canada, Forenede Arabiske Emirater, Frankrig, Iran, Irland, New Zealand, Polen, Storbritanien, Tyskland, USA, Ægypten
Administrationsvej   Administrationsvej :Pancuronium bromide     
Voie
Intravenøs
Intravenøs infusion
Intramuskulær

  Mentions Légales