Cập nhật lần cuối :
12/12/2025
Kháng sinh   Amikacin sulfate  
Dạng tiêm
Tính ổn định của các dung dịch Độ ổn định khi trộn lẫn Những yếu tố ảnh hưởng đến độ ổn định Khả năng tương thích Đường dùng Tài liệu tham khảo Pdf
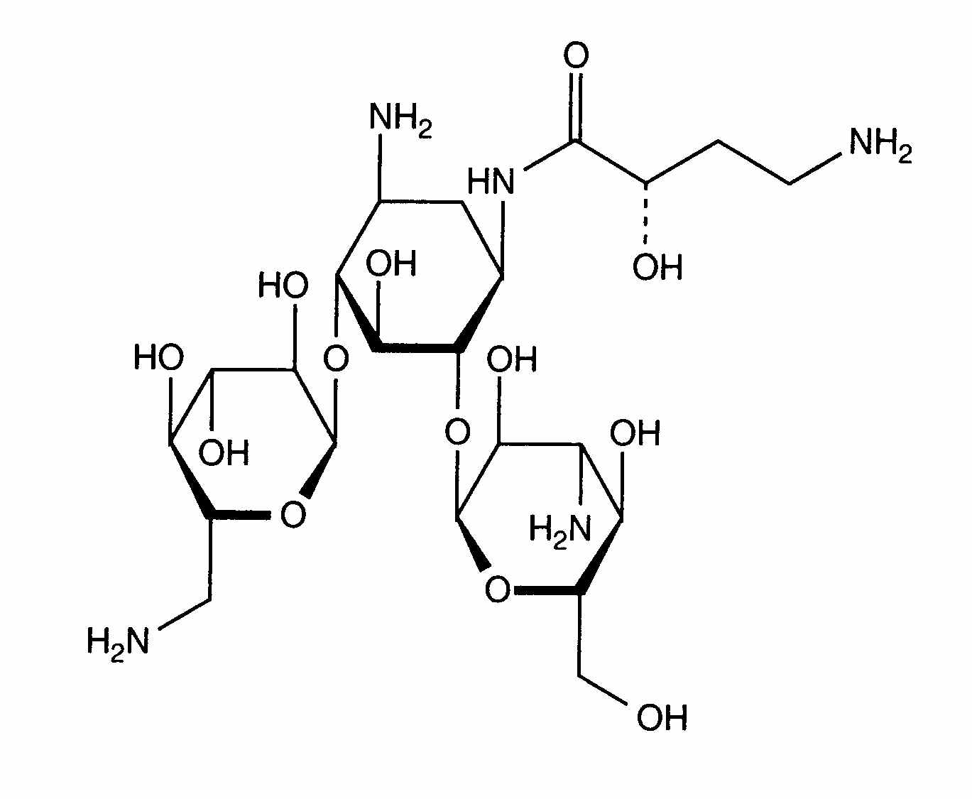
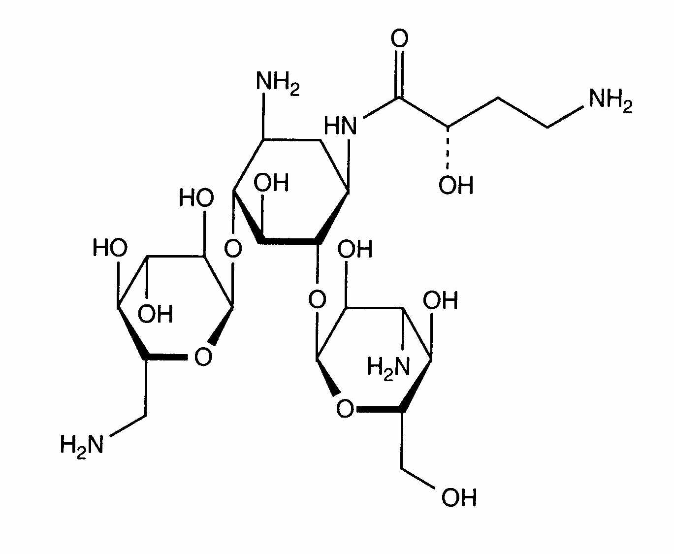
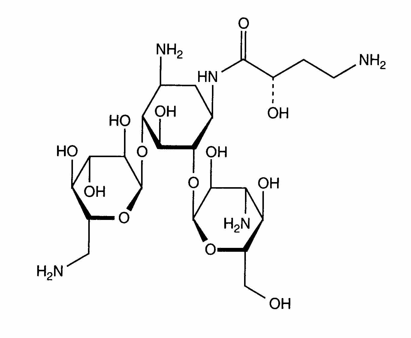
   Cấu trúc hóa học  

Tên thương mại   Tên thương mại     

Các tên thương mại được cung cấp và thành phần tá dược có thể khác nhau giữa các quốc gia và các hãng dược

Adnet Ấn Độ
Agnicin Mexico
Akamin Ecuador
Akim Ecuador
Amicacil Brazil
Amicilon Brazil
Amicin Malaysia
Amicip Venezuela
Amijeksin Thổ Nhĩ Kỳ
Amikabiot Ecuador, Peru
Amikacin Ả Rập, Ả Rập Saudi, Anh, Canada, Hoa Kỳ, Iran, Malaysia, new zealand, Đức
Amikacina Argentina, Chile, Colombia, Ecuador, Mexico, Peru, Tây Ban Nha, Venezuela, Ý
Amikacine Bỉ, Hà Lan, Morocco, Pháp
Amikafur Mexico
Amikagram Peru
Amikalem Mexico
Amikamed Peru
Amikamek Peru
Amikan Ý
Amikavax Venezuela
Amikaver Thổ Nhĩ Kỳ
Amikayect Mexico
Amikem Peru
Amiketem Thổ Nhĩ Kỳ
Amikin Ả Rập, Ả Rập Saudi, Anh, Ba Lan, Brazil, Colombia, Ecuador, Hoa Kỳ, Hungary, Ireland, Mexico, Peru, Thụy Sỹ, Tunisia, Úc
Amiklin Pháp, Thổ Nhĩ Kỳ
Amikosit Romania, Thổ Nhĩ Kỳ, Tunisia
Amikram Peru
Amukin Bỉ, Hà Lan, Luxembourg
Apalin Malaysia
Baxi K Chile, Mexico
Behcacin Ấn Độ, Venezuela
Belka Ấn Độ
Biclin Áo, Bồ Đào Nha, Mexico, Phần Lan, Tây Ban Nha, Thụy Điển, Đức
Biodacyna Ba Lan
Biokacin Mexico
Briklin Hy Lạp
Cadicin Ấn Độ
Chemacin Ý
Cikabit Ấn Độ
Cinamica Ấn Độ
Cinas Ấn Độ
Consumonit Hy Lạp
Domak Ấn Độ
Doxocar Argentina
Elcin Ấn Độ
Elmik Ấn Độ
Emcin Ấn Độ
Emica Ấn Độ
Farcyclin Hy Lạp
Flexelite Hy Lạp
Greini Argentina
Ipacin Iran
Itukacin Peru
Kancin Hy Lạp
Lanomycin Hy Lạp
Lukadin Ý
Masmika Ấn Độ
Mediamik Ý
Micalpha Hy Lạp
Micigen Mexico
Migracin Ý
Mikacin Ả Rập Saudi
Nekacin Ý
Novamin Brazil
Orlobin Hy Lạp
Remikin Hy Lạp
Rovericlin Hy Lạp
Uzix Hy Lạp
Tính ổn định của các dung dịch   Dạng tiêm   Tính ổn định của các dung dịch : Amikacin sulfate     
Bao bì Dung môi Nồng độ Nhiệt độ Bảo quản Thời gian ổn định Mục lục
Thủy tinh NaCl 0,9% 0,25 & 5 mg/ml -15°C Tránh ánh sáng
30 Ngày
561
Cấp độ bằng chứng D

Thủy tinh NaCl 0,9% 0,25 & 5 mg/ml 25°C Không rõ
24 Giờ
561
Cấp độ bằng chứng D

Thủy tinh NaCl 0,9% 0,25 & 5 mg/ml 4°C Tránh ánh sáng
60 Ngày
561
Cấp độ bằng chứng D

Thủy tinh NaCl 0,9% 4 mg/ml 25°C Không rõ
48 Giờ
565
Cấp độ bằng chứng D

Thủy tinh Glucose 5% 0,25 & 5 mg/ml -15°C Tránh ánh sáng
30 Ngày
561
Cấp độ bằng chứng D

Thủy tinh Glucose 5% 0,25 & 5 mg/ml 25°C Không rõ
24 Giờ
561
Cấp độ bằng chứng D

Thủy tinh Glucose 5% 0,25 & 5 mg/ml 4°C Tránh ánh sáng
60 Ngày
561
Cấp độ bằng chứng D

Thủy tinh Glucose 5% 4 mg/ml 25°C Không rõ
48 Giờ
565
Cấp độ bằng chứng D

Thủy tinh Dung dịch Ringer’s lactate 0,25 & 5 mg/ml -15°C Tránh ánh sáng
30 Ngày
561
Cấp độ bằng chứng D

Thủy tinh Dung dịch Ringer’s lactate 0,25 & 5 mg/ml 25°C Không rõ
24 Giờ
561
Cấp độ bằng chứng D

Thủy tinh Dung dịch Ringer’s lactate 0,25 & 5 mg/ml 4°C Tránh ánh sáng
60 Ngày
561
Cấp độ bằng chứng D

Thủy tinh NaCl 0,45% 0,25 & 5 mg/ml -15°C Tránh ánh sáng
30 Ngày
561
Cấp độ bằng chứng D

Thủy tinh NaCl 0,45% 0,25 & 5 mg/ml 25°C Không rõ
24 Giờ
561
Cấp độ bằng chứng D

Thủy tinh NaCl 0,45% 0,25 & 5 mg/ml 4°C Tránh ánh sáng
60 Ngày
561
Cấp độ bằng chứng D

Nhựa polyvinyl chloride NaCl 0,9% 5 mg/ml 25°C Ánh sáng
48 Giờ
434

Nhựa polyvinyl chloride NaCl 0,9% 5 mg/ml 4°C Tránh ánh sáng
8 Giờ
434

Nhựa polyvinyl chloride Glucose 5% 20 mg/ml -20°C Tránh ánh sáng
30 Ngày
575
Phương pháp sinh học

Nhựa polyvinyl chloride Glucose 5% 5 mg/ml 25°C Ánh sáng
48 Giờ
434

Nhựa polyvinyl chloride Glucose 5% 5 mg/ml 4°C Tránh ánh sáng
48 Giờ
434

Nhựa ethylene vinyl acetat NaCl 0,9% 0,25 & 5 mg/ml 23°C Tránh ánh sáng
7 Ngày
1816
Cấp độ bằng chứng A+

Nhựa ethylene vinyl acetat NaCl 0,9% 0,25 & 5 mg/ml 4°C Tránh ánh sáng
30 Ngày
1816
Cấp độ bằng chứng A+

ống tiêm polypropylene NaCl 0,9% 190 mg/ml 22°C-23°C Ánh sáng
48 Giờ
639
Cấp độ bằng chứng D

Chất đàn hồi polyisoprene Glucose 5% 0,25 & 20 mg/ml 25°C Không rõ
24 Giờ
604
Các dữ liệu về độ ổn định của nhà sản xuất


  Mentions Légales