آخر تحديث :
18/03/2026
مضاد حيوي   Amikacin sulfate  
حقن
الاستقرار في حلول استقرار مخاليط العوامل التي تؤثر على الاستقرار التوافق طريقة التعاطي مراجع pdf
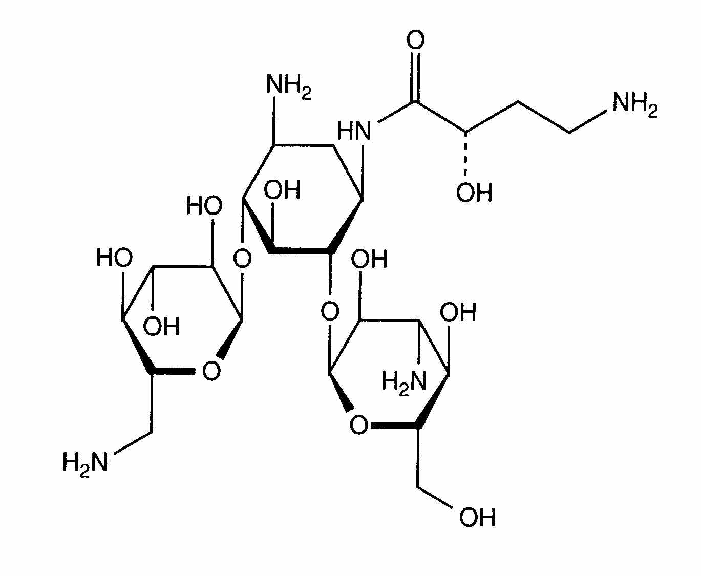
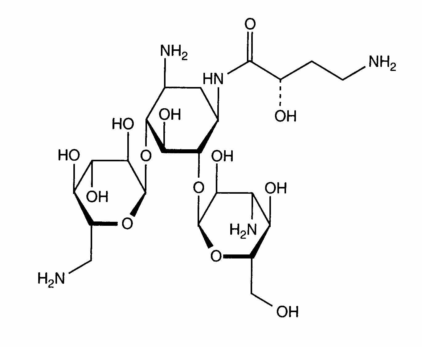
   التركيب الكيميائي  

حجز الاسم التجاري   حجز الاسم التجاري     

تحذير الأسماء التجاريه المختلفه قد تحتوي علي محتوي إضافات مختلفة حسب الدوله و المعمل

Adnet الهند
Agnicin المكسيك
Akamin الإكوادور
Akim الإكوادور
Amicacil البرازيل
Amicilon البرازيل
Amicin ماليزيا
Amicip فنزويلا
Amijeksin تركيا
Amikabiot الإكوادور, بيرو
Amikacin ألمانيا, إيران, العربية السعودية, الولايات المتحدة, بريطانيا العظمي, زيلاندا الجديدة, كندا, ماليزيا, مصر
Amikacina إسبانيا, إيطاليا, الأرجنتين, الإكوادور, المكسيك, بيرو, تشيلي, فنزويلا, كولومبيا
Amikacine المغرب, بلجيكا, فرنسا, هولندا
Amikafur المكسيك
Amikagram بيرو
Amikalem المكسيك
Amikamed بيرو
Amikamek بيرو
Amikan إيطاليا
Amikavax فنزويلا
Amikaver تركيا
Amikayect المكسيك
Amikem بيرو
Amiketem تركيا
Amikin أستراليا, الإكوادور, البرازيل, العربية السعودية, المكسيك, الولايات المتحدة, ايرلندا, بريطانيا العظمي, بولندا, بيرو, تونس, سويسرا, كولومبيا, مصر, هنغاريا
Amiklin تركيا, فرنسا
Amikosit تركيا, تونس, رومانيا
Amikram بيرو
Amukin بلجيكا, لوكسمبورغ, هولندا
Apalin ماليزيا
Baxi K المكسيك, تشيلي
Behcacin الهند, فنزويلا
Belka الهند
Biclin ألمانيا, إسبانيا, البرتغال, السويد, المكسيك, النمسا, فنلندا
Biodacyna بولندا
Biokacin المكسيك
Briklin يونان
Cadicin الهند
Chemacin إيطاليا
Cikabit الهند
Cinamica الهند
Cinas الهند
Consumonit يونان
Domak الهند
Doxocar الأرجنتين
Elcin الهند
Elmik الهند
Emcin الهند
Emica الهند
Farcyclin يونان
Flexelite يونان
Greini الأرجنتين
Ipacin إيران
Itukacin بيرو
Kancin يونان
Lanomycin يونان
Lukadin إيطاليا
Masmika الهند
Mediamik إيطاليا
Micalpha يونان
Micigen المكسيك
Migracin إيطاليا
Mikacin العربية السعودية
Nekacin إيطاليا
Novamin البرازيل
Orlobin يونان
Remikin يونان
Rovericlin يونان
Uzix يونان
الاستقرار في حلول   حقن   الاستقرار في حلول : Amikacin sulfate     
حاوية مذيب تركيز درجة الحرارة تخزين مدة الاستقرار مراجع
زجاج كلوريد الصوديوم 0.9% 0,25 & 5 mg/ml -15°C بعيدا عن الضوء
30 يوم
561
D مستوى الأدلة

زجاج كلوريد الصوديوم 0.9% 0,25 & 5 mg/ml 25°C لم يتم تحديد
24 ساعة
561
D مستوى الأدلة

زجاج كلوريد الصوديوم 0.9% 0,25 & 5 mg/ml 4°C بعيدا عن الضوء
60 يوم
561
D مستوى الأدلة

زجاج كلوريد الصوديوم 0.9% 4 mg/ml 25°C لم يتم تحديد
48 ساعة
565
D مستوى الأدلة

زجاج الجلوكوز %5 0,25 & 5 mg/ml -15°C بعيدا عن الضوء
30 يوم
561
D مستوى الأدلة

زجاج الجلوكوز %5 0,25 & 5 mg/ml 25°C لم يتم تحديد
24 ساعة
561
D مستوى الأدلة

زجاج الجلوكوز %5 0,25 & 5 mg/ml 4°C بعيدا عن الضوء
60 يوم
561
D مستوى الأدلة

زجاج الجلوكوز %5 4 mg/ml 25°C لم يتم تحديد
48 ساعة
565
D مستوى الأدلة

زجاج محلول رينجر  اللاكتات 0,25 & 5 mg/ml -15°C بعيدا عن الضوء
30 يوم
561
D مستوى الأدلة

زجاج محلول رينجر  اللاكتات 0,25 & 5 mg/ml 25°C لم يتم تحديد
24 ساعة
561
D مستوى الأدلة

زجاج محلول رينجر  اللاكتات 0,25 & 5 mg/ml 4°C بعيدا عن الضوء
60 يوم
561
D مستوى الأدلة

زجاج كلوريد الصوديوم 0.45% 0,25 & 5 mg/ml -15°C بعيدا عن الضوء
30 يوم
561
D مستوى الأدلة

زجاج كلوريد الصوديوم 0.45% 0,25 & 5 mg/ml 25°C لم يتم تحديد
24 ساعة
561
D مستوى الأدلة

زجاج كلوريد الصوديوم 0.45% 0,25 & 5 mg/ml 4°C بعيدا عن الضوء
60 يوم
561
D مستوى الأدلة

البولي فينيل كلوريد كلوريد الصوديوم 0.9% 5 mg/ml 25°C ضوء
48 ساعة
434

البولي فينيل كلوريد كلوريد الصوديوم 0.9% 5 mg/ml 4°C بعيدا عن الضوء
8 ساعة
434

البولي فينيل كلوريد الجلوكوز %5 20 mg/ml -20°C بعيدا عن الضوء
30 يوم
575
التحليل البيولوجي

البولي فينيل كلوريد الجلوكوز %5 5 mg/ml 25°C ضوء
48 ساعة
434

البولي فينيل كلوريد الجلوكوز %5 5 mg/ml 4°C بعيدا عن الضوء
48 ساعة
434

الإثيلين خلات الفينيل كلوريد الصوديوم 0.9% 0,25 & 5 mg/ml 23°C بعيدا عن الضوء
7 يوم
1816
 A+ مستوى الأدلة

الإثيلين خلات الفينيل كلوريد الصوديوم 0.9% 0,25 & 5 mg/ml 4°C بعيدا عن الضوء
30 يوم
1816
 A+ مستوى الأدلة

محقنة البولي بروبلين كلوريد الصوديوم 0.9% 190 mg/ml 22°C-23°C ضوء
48 ساعة
639
D مستوى الأدلة

ولي إيزوبرين إلاستومر الجلوكوز %5 0,25 & 20 mg/ml 25°C لم يتم تحديد
24 ساعة
604
بيانات الشركة المصنعة \\ \'ق الاستقرار


  Mentions Légales