Utolsó frissítés :
18/03/2026
Antibiotikum   Amikacin sulfate  
Injekció
Az oldatok stabilitása A keverékek stabilitása Stabilitást befolyásoló tényezők Kompatibilitás Az alkalmazás módja Irodalom pdf
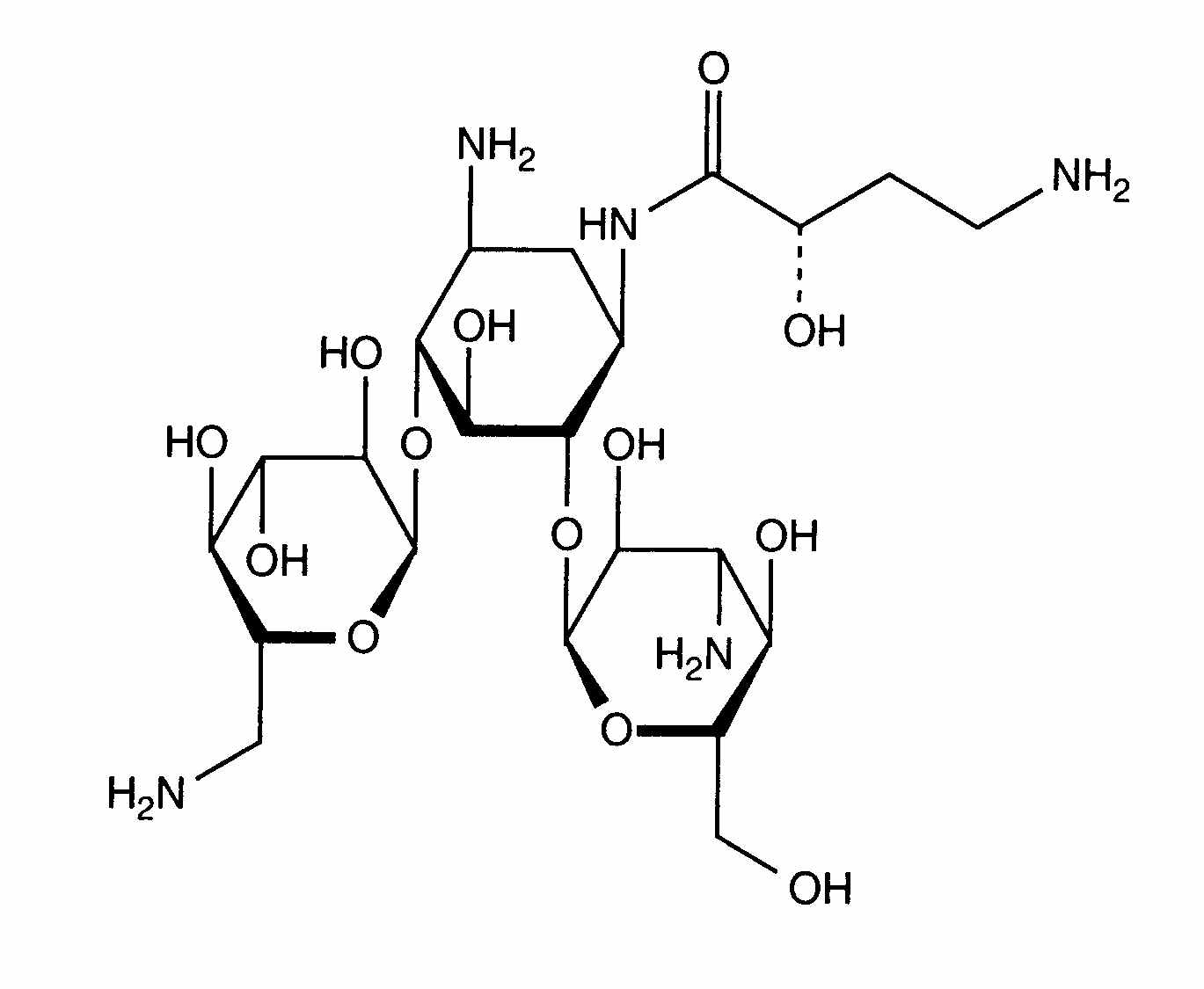
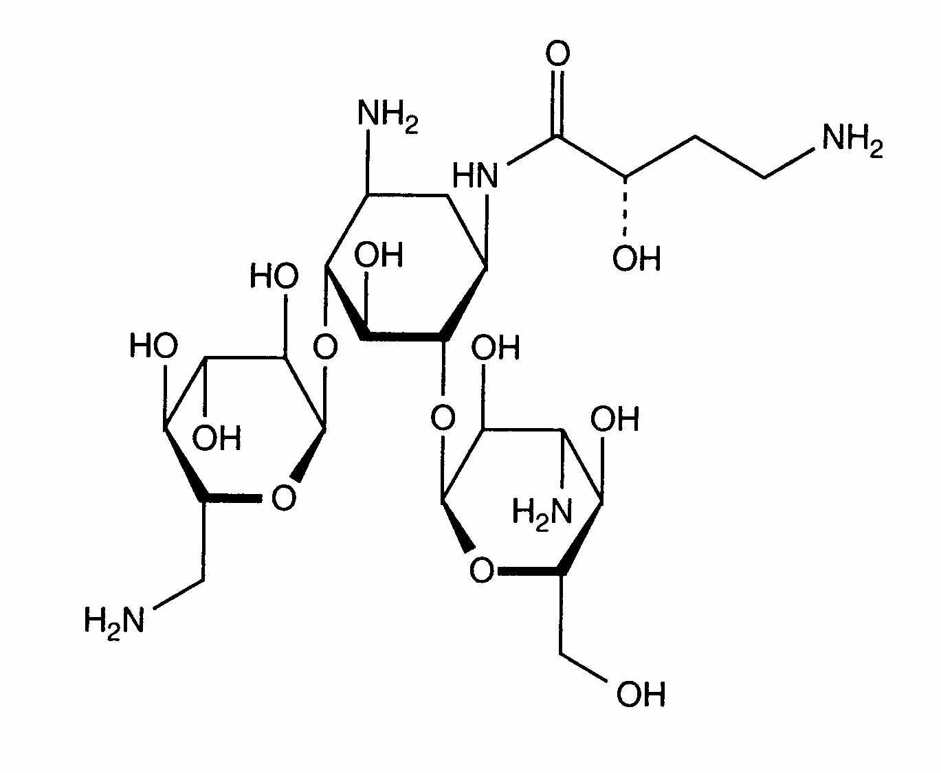
   Kémiai szerkezet   

Kereskedelmi név   Kereskedelmi név     

A kereskedelmi név meghatározó jelentőségű: a készítmények összetétele országonként, előállítóként eltérő lehet

Adnet India
Agnicin Mexikó
Akamin Ecuador
Akim Ecuador
Amicacil Brazília
Amicilon Brazília
Amicin Malaysia
Amicip Venezuela
Amijeksin Törökország
Amikabiot Ecuador, Peru
Amikacin Amerikai Egyesült Államok, Egyiptom, Irán, Kanada, Malaysia, Nagy-Britannia, Németország, Szaúd-Arábiában, új-Zéland
Amikacina Argentína, Chile, Colombia, Ecuador, Mexikó, Olaszország, Peru, Spanyolország, Venezuela
Amikacine Belgium, Franciaország, Hollandia, Marokkó
Amikafur Mexikó
Amikagram Peru
Amikalem Mexikó
Amikamed Peru
Amikamek Peru
Amikan Olaszország
Amikavax Venezuela
Amikaver Törökország
Amikayect Mexikó
Amikem Peru
Amiketem Törökország
Amikin Amerikai Egyesült Államok, Ausztrália, Brazília, Colombia, Ecuador, Egyiptom, Írország, Lengyelország, Magyarország, Mexikó, Nagy-Britannia, Peru, Svájc, Szaúd-Arábiában, Tunézia
Amiklin Franciaország, Törökország
Amikosit Románia, Törökország, Tunézia
Amikram Peru
Amukin Belgium, Hollandia, Luxemburg
Apalin Malaysia
Baxi K Chile, Mexikó
Behcacin India, Venezuela
Belka India
Biclin Ausztria, Finnország, Mexikó, Németország, Portugália, Spanyolország, Svédország
Biodacyna Lengyelország
Biokacin Mexikó
Briklin Görögország
Cadicin India
Chemacin Olaszország
Cikabit India
Cinamica India
Cinas India
Consumonit Görögország
Domak India
Doxocar Argentína
Elcin India
Elmik India
Emcin India
Emica India
Farcyclin Görögország
Flexelite Görögország
Greini Argentína
Ipacin Irán
Itukacin Peru
Kancin Görögország
Lanomycin Görögország
Lukadin Olaszország
Masmika India
Mediamik Olaszország
Micalpha Görögország
Micigen Mexikó
Migracin Olaszország
Mikacin Szaúd-Arábiában
Nekacin Olaszország
Novamin Brazília
Orlobin Görögország
Remikin Görögország
Rovericlin Görögország
Uzix Görögország
Az oldatok stabilitása   Injekció   Az oldatok stabilitása : Amikacin sulfate     
Csomagolás Oldószer Koncentráció Hőmérséklet Tárolás A stabilitás időtartama Irodalom
Üveg 0,9% nátrium-klorid 0,25 & 5 mg/ml -15°C Fénytől védve tartandó
30 Nap
561
Szintű bizonyítékot D

Üveg 0,9% nátrium-klorid 0,25 & 5 mg/ml 25°C Nincs meghatározva
24 Óra
561
Szintű bizonyítékot D

Üveg 0,9% nátrium-klorid 0,25 & 5 mg/ml 4°C Fénytől védve tartandó
60 Nap
561
Szintű bizonyítékot D

Üveg 0,9% nátrium-klorid 4 mg/ml 25°C Nincs meghatározva
48 Óra
565
Szintű bizonyítékot D

Üveg 5% glükóz 0,25 & 5 mg/ml -15°C Fénytől védve tartandó
30 Nap
561
Szintű bizonyítékot D

Üveg 5% glükóz 0,25 & 5 mg/ml 25°C Nincs meghatározva
24 Óra
561
Szintű bizonyítékot D

Üveg 5% glükóz 0,25 & 5 mg/ml 4°C Fénytől védve tartandó
60 Nap
561
Szintű bizonyítékot D

Üveg 5% glükóz 4 mg/ml 25°C Nincs meghatározva
48 Óra
565
Szintű bizonyítékot D

Üveg Ringer-laktát oldat 0,25 & 5 mg/ml -15°C Fénytől védve tartandó
30 Nap
561
Szintű bizonyítékot D

Üveg Ringer-laktát oldat 0,25 & 5 mg/ml 25°C Nincs meghatározva
24 Óra
561
Szintű bizonyítékot D

Üveg Ringer-laktát oldat 0,25 & 5 mg/ml 4°C Fénytől védve tartandó
60 Nap
561
Szintű bizonyítékot D

Üveg 0,45% nátrium-klorid 0,25 & 5 mg/ml -15°C Fénytől védve tartandó
30 Nap
561
Szintű bizonyítékot D

Üveg 0,45% nátrium-klorid 0,25 & 5 mg/ml 25°C Nincs meghatározva
24 Óra
561
Szintű bizonyítékot D

Üveg 0,45% nátrium-klorid 0,25 & 5 mg/ml 4°C Fénytől védve tartandó
60 Nap
561
Szintű bizonyítékot D

Poli(vinilklorid) 0,9% nátrium-klorid 5 mg/ml 25°C Fény
48 Óra
434

Poli(vinilklorid) 0,9% nátrium-klorid 5 mg/ml 4°C Fénytől védve tartandó
8 Óra
434

Poli(vinilklorid) 5% glükóz 20 mg/ml -20°C Fénytől védve tartandó
30 Nap
575
Biológiai elemzés

Poli(vinilklorid) 5% glükóz 5 mg/ml 25°C Fény
48 Óra
434

Poli(vinilklorid) 5% glükóz 5 mg/ml 4°C Fénytől védve tartandó
48 Óra
434

Etilén-vinilacetát 0,9% nátrium-klorid 0,25 & 5 mg/ml 23°C Fénytől védve tartandó
7 Nap
1816
Szintű bizonyítékot A+

Etilén-vinilacetát 0,9% nátrium-klorid 0,25 & 5 mg/ml 4°C Fénytől védve tartandó
30 Nap
1816
Szintű bizonyítékot A+

fecskendő polipropilén 0,9% nátrium-klorid 190 mg/ml 22°C-23°C Fény
48 Óra
639
Szintű bizonyítékot D

Poliizoprén elasztomer 5% glükóz 0,25 & 20 mg/ml 25°C Nincs meghatározva
24 Óra
604
Gyártó stabilitási adatokra


  Mentions Légales