Posledná aktualizácia :
27/01/2026
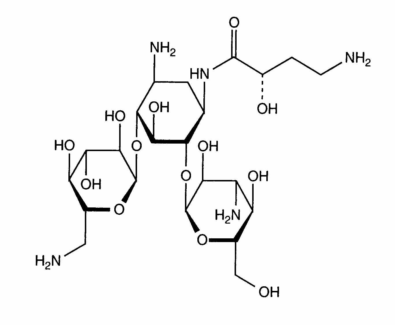
antibiotikum   Amikacin sulfate  
Injekcia
Stabilita roztokov Stabilita v zmesiach Faktory ovplyvňujúce stabilitu Kompatibility spôsob podania Odkazy na literatúru PDF
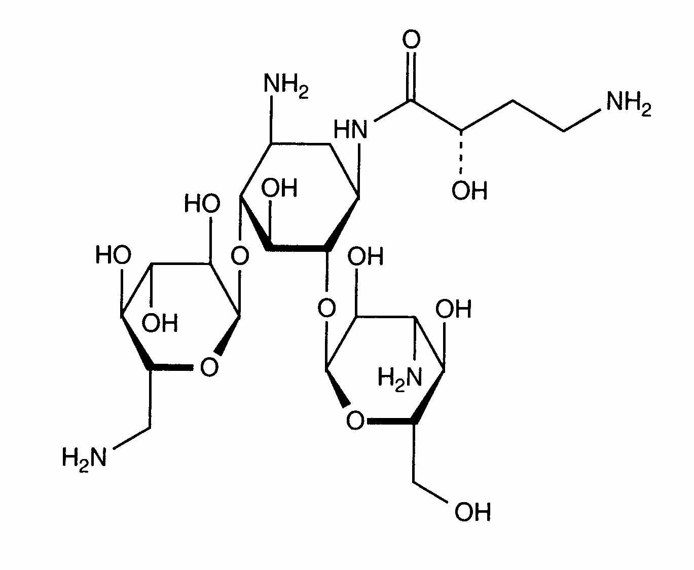
   Chemický vzorec  

Obchodný názov   Obchodný názov     

Obchodné názvy sú orientačné, a zloženie pomocných látok sa môže líšiť v závislosti od krajiny a výrobcu.

Adnet India
Agnicin Mexiko
Akamin Ekvádor
Akim Ekvádor
Amicacil Brazília
Amicilon Brazília
Amicin Malajzia
Amicip Venezuela
Amijeksin Turecko
Amikabiot Ekvádor, peru
Amikacin Egypt, Irán, Kanada, Malajzia, Nemecko, nový Zéland, Saudská Arábia, Spojené štáty Americké, Veľká Británia
Amikacina Argentína, Čile, Ekvádor, Kolumbia, Mexiko, peru, Španielsko, Taliansko, Venezuela
Amikacine Belgicko, Francúzsko, Holandsko, Maroko
Amikafur Mexiko
Amikagram peru
Amikalem Mexiko
Amikamed peru
Amikamek peru
Amikan Taliansko
Amikavax Venezuela
Amikaver Turecko
Amikayect Mexiko
Amikem peru
Amiketem Turecko
Amikin Austrália, Brazília, Egypt, Ekvádor, Írsko, Kolumbia, Maďarsko, Mexiko, peru, Poľsko, Saudská Arábia, Spojené štáty Americké, Švajčiarsko, Tunisko, Veľká Británia
Amiklin Francúzsko, Turecko
Amikosit Rumunsko, Tunisko, Turecko
Amikram peru
Amukin Belgicko, Holandsko, Luxembursko
Apalin Malajzia
Baxi K Čile, Mexiko
Behcacin India, Venezuela
Belka India
Biclin Fínsko, Mexiko, Nemecko, Portugalsko, Rakúsko, Španielsko, Švédsko
Biodacyna Poľsko
Biokacin Mexiko
Briklin Grécko
Cadicin India
Chemacin Taliansko
Cikabit India
Cinamica India
Cinas India
Consumonit Grécko
Domak India
Doxocar Argentína
Elcin India
Elmik India
Emcin India
Emica India
Farcyclin Grécko
Flexelite Grécko
Greini Argentína
Ipacin Irán
Itukacin peru
Kancin Grécko
Lanomycin Grécko
Lukadin Taliansko
Masmika India
Mediamik Taliansko
Micalpha Grécko
Micigen Mexiko
Migracin Taliansko
Mikacin Saudská Arábia
Nekacin Taliansko
Novamin Brazília
Orlobin Grécko
Remikin Grécko
Rovericlin Grécko
Uzix Grécko
Stabilita roztokov   Injekcia   Stabilita roztokov : Amikacin sulfate     
obal rozpúšťadlo koncentrácia teplota uchovávanie Trvanie stability odkazy na lieteratúru
Sklo 0,9% chlorid sodný 0,25 & 5 mg/ml -15°C Chránené pred svetlom
30 dní
561
Úroveň dôkazov D

Sklo 0,9% chlorid sodný 0,25 & 5 mg/ml 25°C nešpecifikované
24 hodín
561
Úroveň dôkazov D

Sklo 0,9% chlorid sodný 0,25 & 5 mg/ml 4°C Chránené pred svetlom
60 dní
561
Úroveň dôkazov D

Sklo 0,9% chlorid sodný 4 mg/ml 25°C nešpecifikované
48 hodín
565
Úroveň dôkazov D

Sklo 5% glukóza 0,25 & 5 mg/ml -15°C Chránené pred svetlom
30 dní
561
Úroveň dôkazov D

Sklo 5% glukóza 0,25 & 5 mg/ml 25°C nešpecifikované
24 hodín
561
Úroveň dôkazov D

Sklo 5% glukóza 0,25 & 5 mg/ml 4°C Chránené pred svetlom
60 dní
561
Úroveň dôkazov D

Sklo 5% glukóza 4 mg/ml 25°C nešpecifikované
48 hodín
565
Úroveň dôkazov D

Sklo Ringerov laktátový roztok 0,25 & 5 mg/ml -15°C Chránené pred svetlom
30 dní
561
Úroveň dôkazov D

Sklo Ringerov laktátový roztok 0,25 & 5 mg/ml 25°C nešpecifikované
24 hodín
561
Úroveň dôkazov D

Sklo Ringerov laktátový roztok 0,25 & 5 mg/ml 4°C Chránené pred svetlom
60 dní
561
Úroveň dôkazov D

Sklo 0,45 % chlorid sodný 0,25 & 5 mg/ml -15°C Chránené pred svetlom
30 dní
561
Úroveň dôkazov D

Sklo 0,45 % chlorid sodný 0,25 & 5 mg/ml 25°C nešpecifikované
24 hodín
561
Úroveň dôkazov D

Sklo 0,45 % chlorid sodný 0,25 & 5 mg/ml 4°C Chránené pred svetlom
60 dní
561
Úroveň dôkazov D

polyvinylchlorid (PVC) 0,9% chlorid sodný 5 mg/ml 25°C Za svetla
48 hodín
434

polyvinylchlorid (PVC) 0,9% chlorid sodný 5 mg/ml 4°C Chránené pred svetlom
8 hodín
434

polyvinylchlorid (PVC) 5% glukóza 20 mg/ml -20°C Chránené pred svetlom
30 dní
575
biologická analýza

polyvinylchlorid (PVC) 5% glukóza 5 mg/ml 25°C Za svetla
48 hodín
434

polyvinylchlorid (PVC) 5% glukóza 5 mg/ml 4°C Chránené pred svetlom
48 hodín
434

etylénvinylacetát 0,9% chlorid sodný 0,25 & 5 mg/ml 23°C Chránené pred svetlom
7 dní
1816
Úroveň dôkazov A+

etylénvinylacetát 0,9% chlorid sodný 0,25 & 5 mg/ml 4°C Chránené pred svetlom
30 dní
1816
Úroveň dôkazov A+

Injekčná striekačka polypropylén 0,9% chlorid sodný 190 mg/ml 22°C-23°C Za svetla
48 hodín
639
Úroveň dôkazov D

Polyizoprénový elastomer 5% glukóza 0,25 & 20 mg/ml 25°C nešpecifikované
24 hodín
604
Údaje o stabilite od výrobcu


  Mentions Légales