viimane versioon :
18/03/2026
Infostab
ingredientide nimekiri
nimekiri
Sobivus otsing
Y-liini sobivuse tabel
Viited
uurimisrühmad
valistab
plakat
Sidemed
sponsorid
Autor
Kasutusjuhend
ajakiri
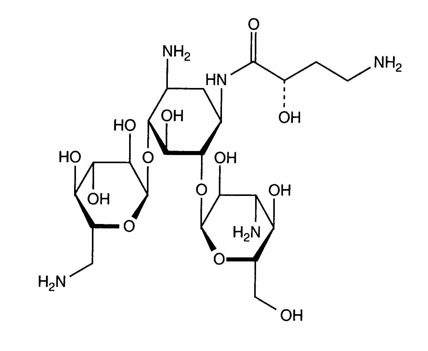
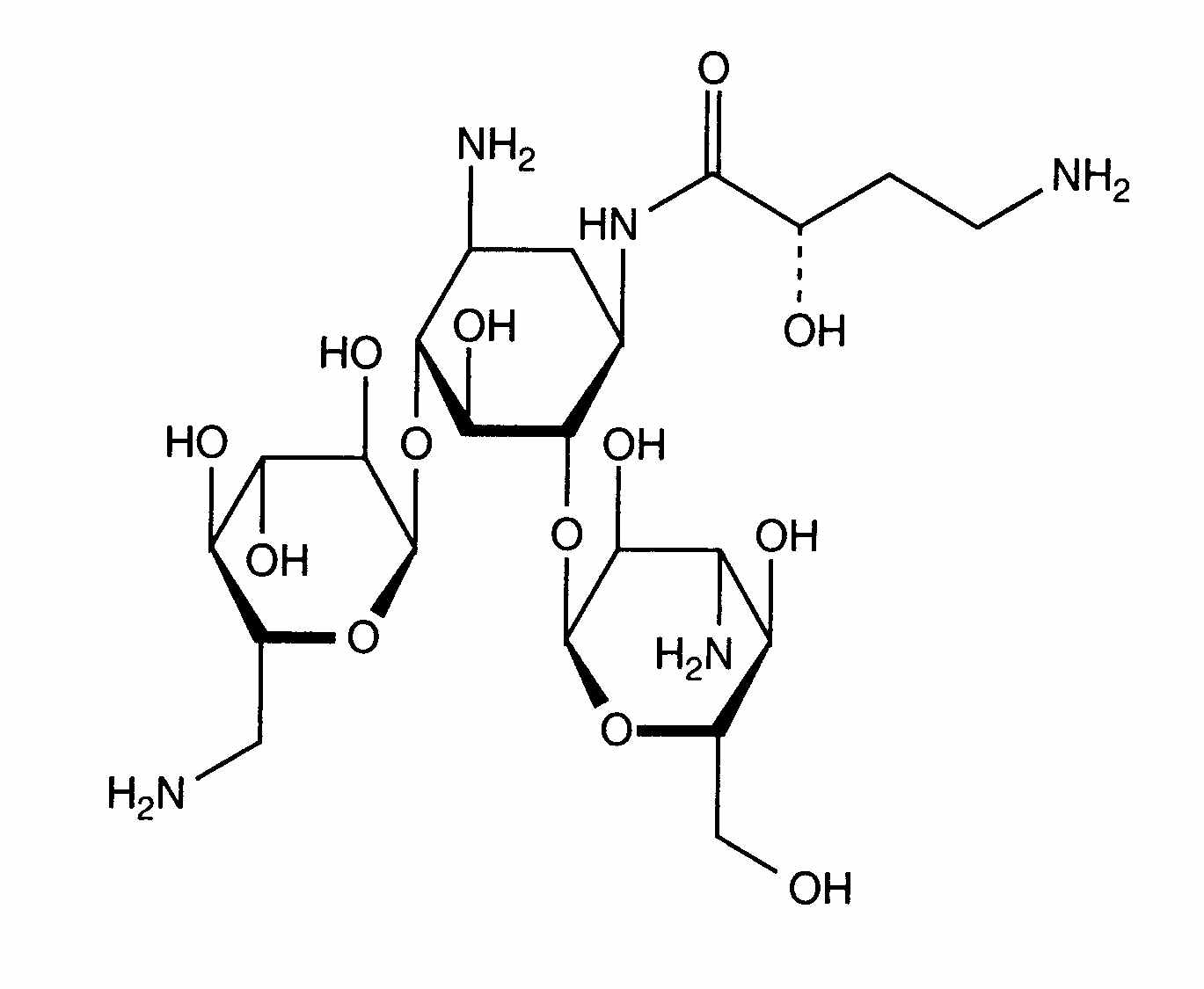
Amikacin sulfate
keemiline struktuur
Kaubanduslikud nimed erinevates maades
Preparaatide nimed on näitlikud ja abianete sisaldus võib erineda sõltuvalt riigist ja laborist
Adnet
India
Agnicin
Mehhiko
Akamin
Ecuador
Akim
Ecuador
Amicacil
Brasiilia
Amicilon
Brasiilia
Amicin
Malaisia
Amicip
Venetsueela
Amijeksin
Türgi
Amikabiot
Ecuador, Maroko
Amikacin
Ameerika ühendriigid, Egiptus, Iraan, Kanada, Malaisia, Saksamaa, Saudi Araabia, Suurbritannia, uus-Meremaa
Amikacina
Argentiina, Ecuador, Hispaania, Itaalia, Kolumbia, Maroko, Mehhiko, Tšiili, Venetsueela
Amikacine
Belgia, Holland, Maroko, Prantsusmaa
Amikafur
Mehhiko
Amikagram
Maroko
Amikalem
Mehhiko
Amikamed
Maroko
Amikamek
Maroko
Amikan
Itaalia
Amikavax
Venetsueela
Amikaver
Türgi
Amikayect
Mehhiko
Amikem
Maroko
Amiketem
Türgi
Amikin
Ameerika ühendriigid, Austraalia, Brasiilia, Ecuador, Egiptus, Iirimaa, Kolumbia, Maroko, Mehhiko, Poola, Saudi Araabia, Suurbritannia, Sveits, Tuneesia, Ungari
Amiklin
Prantsusmaa, Türgi
Amikosit
Rumeenia, Tuneesia, Türgi
Amikram
Maroko
Amukin
Belgia, Holland, Luksemburg
Apalin
Malaisia
Baxi K
Mehhiko, Tšiili
Behcacin
India, Venetsueela
Belka
India
Biclin
Austria, Hispaania, Mehhiko, Portugal, Rootsi, Saksamaa, Soome
Biodacyna
Poola
Biokacin
Mehhiko
Briklin
Kreeka
Cadicin
India
Chemacin
Itaalia
Cikabit
India
Cinamica
India
Cinas
India
Consumonit
Kreeka
Domak
India
Doxocar
Argentiina
Elcin
India
Elmik
India
Emcin
India
Emica
India
Farcyclin
Kreeka
Flexelite
Kreeka
Greini
Argentiina
Ipacin
Iraan
Itukacin
Maroko
Kancin
Kreeka
Lanomycin
Kreeka
Lukadin
Itaalia
Masmika
India
Mediamik
Itaalia
Micalpha
Kreeka
Micigen
Mehhiko
Migracin
Itaalia
Mikacin
Saudi Araabia
Nekacin
Itaalia
Novamin
Brasiilia
Orlobin
Kreeka
Remikin
Kreeka
Rovericlin
Kreeka
Uzix
Kreeka
Stabiilsus lahustes : Amikacin sulfate
0,25 & 5 mg/ml
-15°C
30
561
0,25 & 5 mg/ml
25°C
24
561
0,25 & 5 mg/ml
4°C
60
561
4 mg/ml
25°C
48
565
0,25 & 5 mg/ml
-15°C
30
561
0,25 & 5 mg/ml
25°C
24
561
0,25 & 5 mg/ml
4°C
60
561
4 mg/ml
25°C
48
565
0,25 & 5 mg/ml
-15°C
30
561
0,25 & 5 mg/ml
25°C
24
561
0,25 & 5 mg/ml
4°C
60
561
0,25 & 5 mg/ml
-15°C
30
561
0,25 & 5 mg/ml
25°C
24
561
0,25 & 5 mg/ml
4°C
60
561
5 mg/ml
25°C
48
434
5 mg/ml
4°C
8
434
20 mg/ml
-20°C
30
575
5 mg/ml
25°C
48
434
5 mg/ml
4°C
48
434
0,25 & 5 mg/ml
23°C
7
1816
0,25 & 5 mg/ml
4°C
30
1816
190 mg/ml
22°C-23°C
48
639
0,25 & 20 mg/ml
25°C
24
604
Mentions Légales