Son güncelleme :
27/01/2026
Antibiyotik   Amikacin sulfate  
Enjeksiyon
Çözeltilerin stabilitesi Karışımlardaki stabilitesi Stabiliteyi etkileyen faktörler Uyumluluk Uygulama yöntemi Kaynaklar pdf
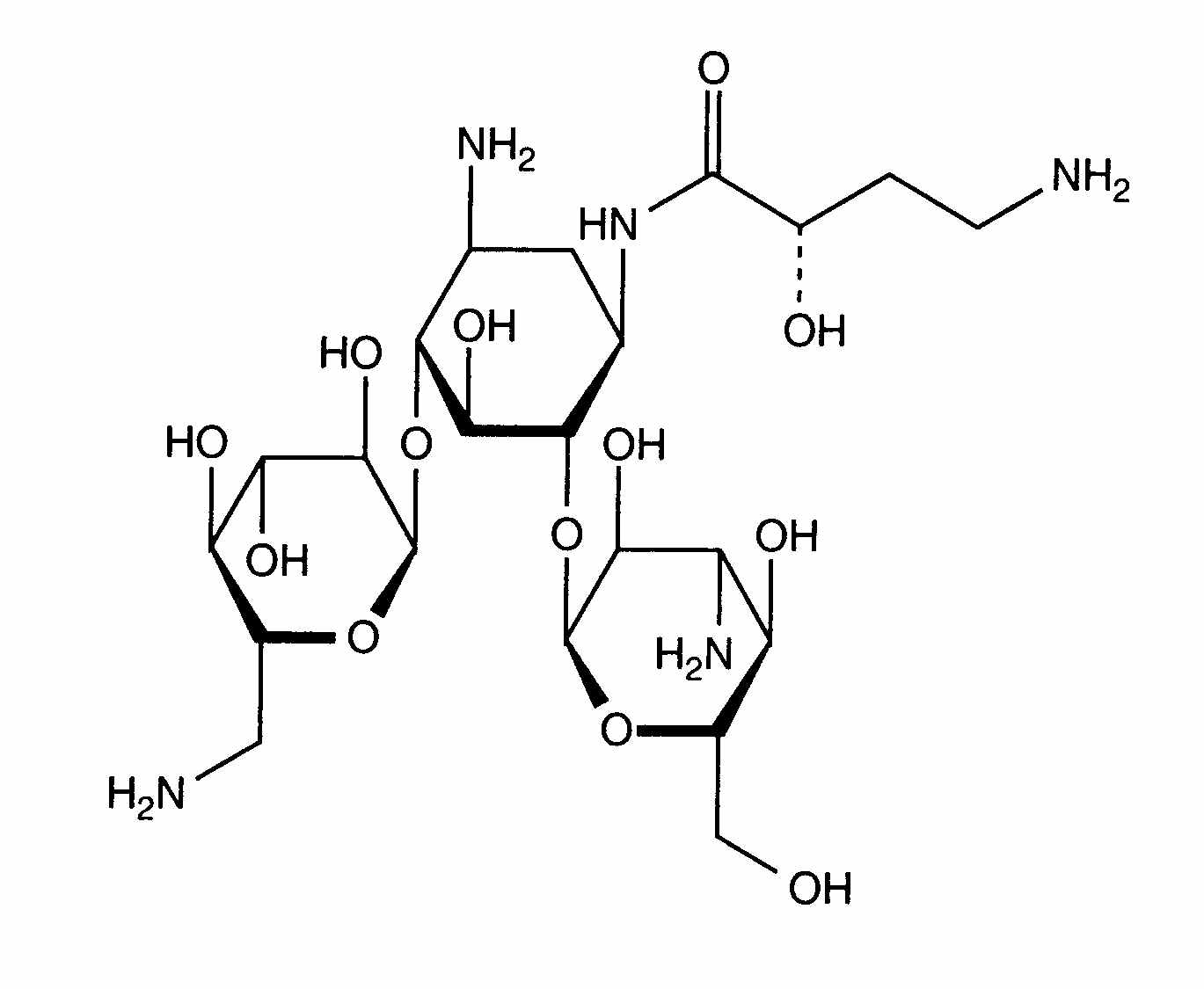
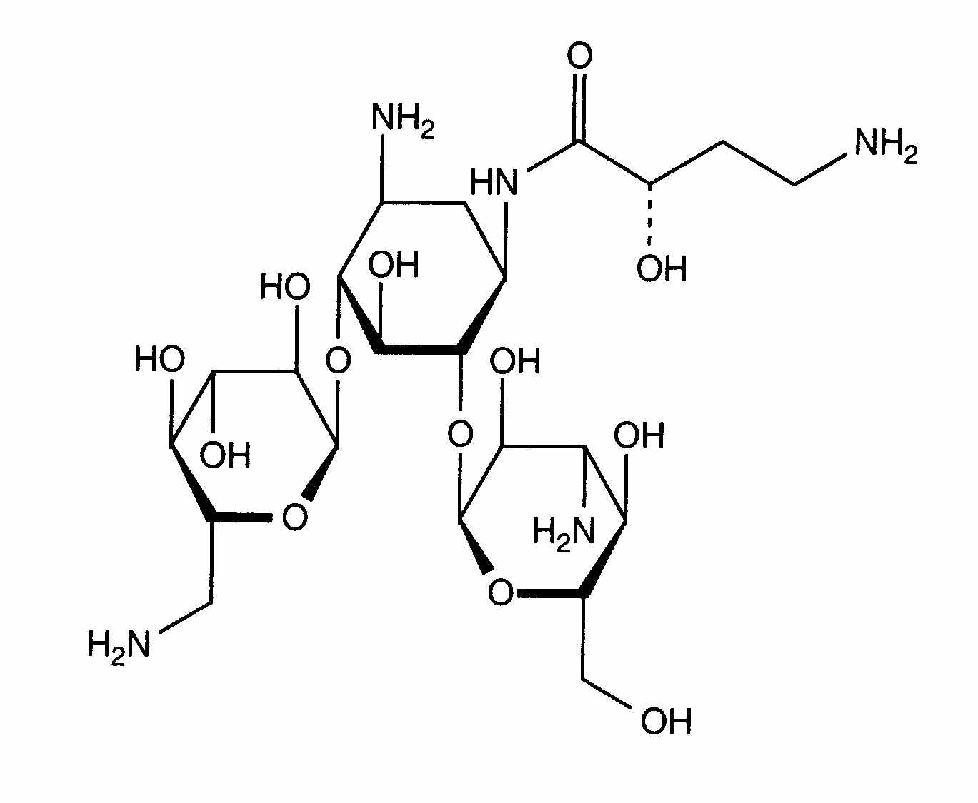
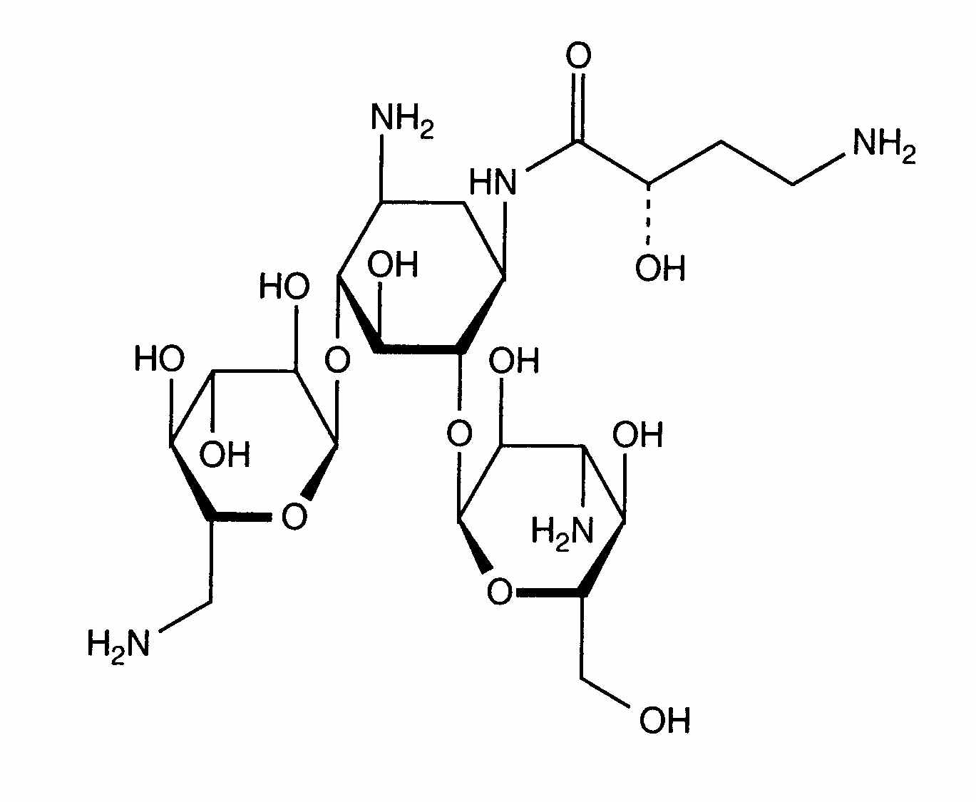
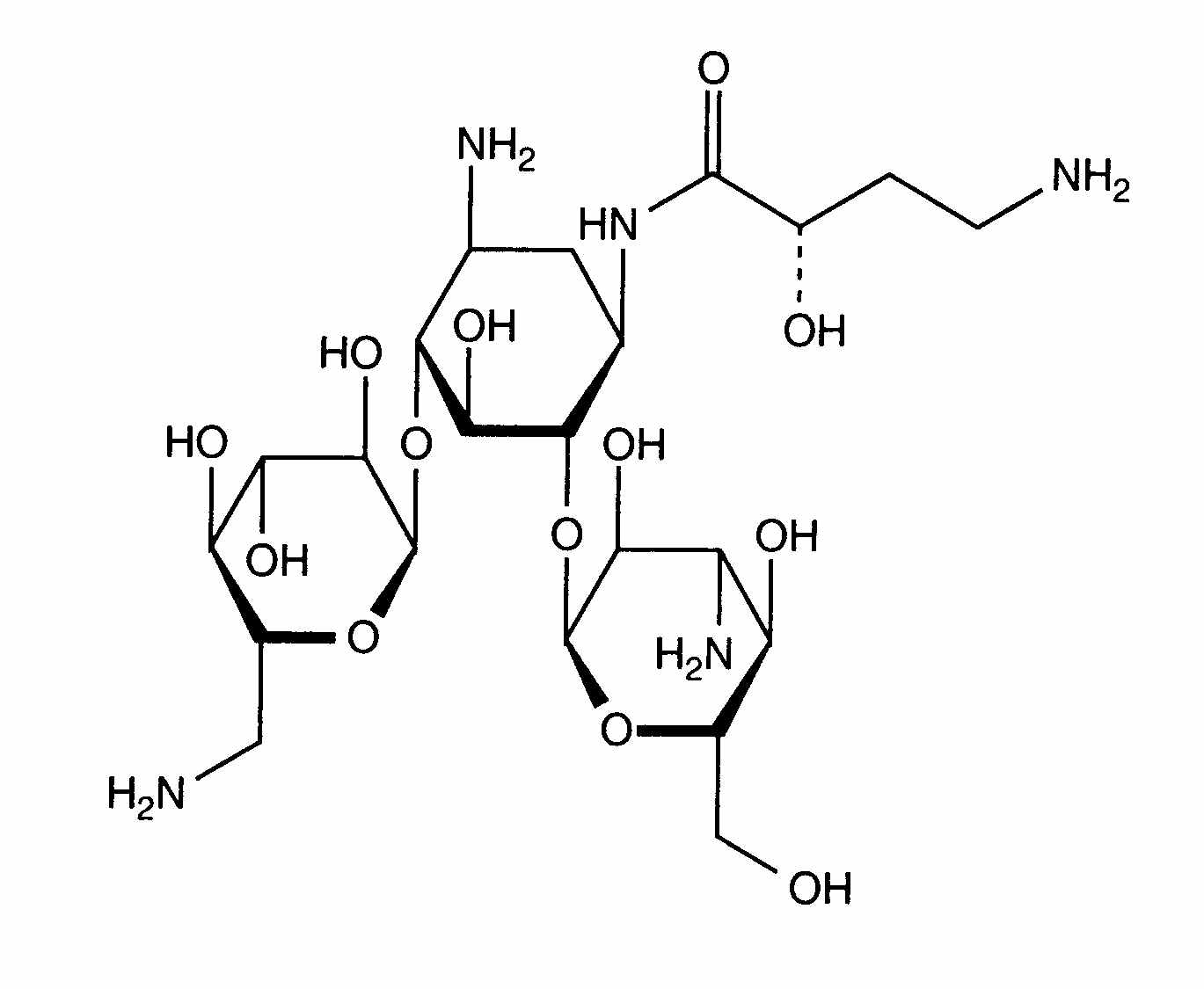
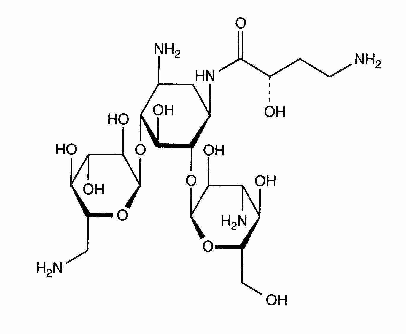
   Kimyasal yapı   

Ticari isim   Ticari isim     

Trade names are indicative and excipients composition can be different depending on the country and manufacturers

Adnet Hindistan
Agnicin Meksika
Akamin Ekvador
Akim Ekvador
Amicacil Brezilya
Amicilon Brezilya
Amicin Malezya
Amicip Venezuela
Amijeksin Türkiye
Amikabiot Ekvador, Peru
Amikacin Almanya, Amerika Birleşik Devletleri, Büyük Britanya, İran, Kanada, Malezya, Mısır, Suudi Arabistan, yeni Zelanda
Amikacina Arjantin, Ekvador, İspanya, İtalya, Kolombiya, Meksika, Peru, Şili, Venezuela
Amikacine Belçika, Fas, Fransa, Hollanda
Amikafur Meksika
Amikagram Peru
Amikalem Meksika
Amikamed Peru
Amikamek Peru
Amikan İtalya
Amikavax Venezuela
Amikaver Türkiye
Amikayect Meksika
Amikem Peru
Amiketem Türkiye
Amikin Amerika Birleşik Devletleri, Avustralya, Brezilya, Büyük Britanya, Ekvador, İrlanda, İsviçre, Kolombiya, Macaristan, Meksika, Mısır, Peru, Polonya, Suudi Arabistan, Tunus
Amiklin Fransa, Türkiye
Amikosit Romanya, Tunus, Türkiye
Amikram Peru
Amukin Belçika, Hollanda, Lüksemburg
Apalin Malezya
Baxi K Meksika, Şili
Behcacin Hindistan, Venezuela
Belka Hindistan
Biclin Almanya, Avusturya, Finlandiya, İspanya, İsveç, Meksika, Portekiz
Biodacyna Polonya
Biokacin Meksika
Briklin Yunanistan
Cadicin Hindistan
Chemacin İtalya
Cikabit Hindistan
Cinamica Hindistan
Cinas Hindistan
Consumonit Yunanistan
Domak Hindistan
Doxocar Arjantin
Elcin Hindistan
Elmik Hindistan
Emcin Hindistan
Emica Hindistan
Farcyclin Yunanistan
Flexelite Yunanistan
Greini Arjantin
Ipacin İran
Itukacin Peru
Kancin Yunanistan
Lanomycin Yunanistan
Lukadin İtalya
Masmika Hindistan
Mediamik İtalya
Micalpha Yunanistan
Micigen Meksika
Migracin İtalya
Mikacin Suudi Arabistan
Nekacin İtalya
Novamin Brezilya
Orlobin Yunanistan
Remikin Yunanistan
Rovericlin Yunanistan
Uzix Yunanistan
Çözeltilerin stabilitesi   Enjeksiyon    Çözeltilerin stabilitesi : Amikacin sulfate     
Saklama kabı Çözücü Konsantrasyon Isı Saklama    Stabilite süresi Kaynaklar
Cam Sodyum klorür % 0,9 0,25 & 5 mg/ml -15°C Işıktan koruyunuz
30 Gün
561
Kanıt düzeyi D

Cam Sodyum klorür % 0,9 0,25 & 5 mg/ml 25°C Belirtilmemiş
24 Zaman
561
Kanıt düzeyi D

Cam Sodyum klorür % 0,9 0,25 & 5 mg/ml 4°C Işıktan koruyunuz
60 Gün
561
Kanıt düzeyi D

Cam Sodyum klorür % 0,9 4 mg/ml 25°C Belirtilmemiş
48 Zaman
565
Kanıt düzeyi D

Cam Glukoz %5 0,25 & 5 mg/ml -15°C Işıktan koruyunuz
30 Gün
561
Kanıt düzeyi D

Cam Glukoz %5 0,25 & 5 mg/ml 25°C Belirtilmemiş
24 Zaman
561
Kanıt düzeyi D

Cam Glukoz %5 0,25 & 5 mg/ml 4°C Işıktan koruyunuz
60 Gün
561
Kanıt düzeyi D

Cam Glukoz %5 4 mg/ml 25°C Belirtilmemiş
48 Zaman
565
Kanıt düzeyi D

Cam Laktatlı ringer 0,25 & 5 mg/ml -15°C Işıktan koruyunuz
30 Gün
561
Kanıt düzeyi D

Cam Laktatlı ringer 0,25 & 5 mg/ml 25°C Belirtilmemiş
24 Zaman
561
Kanıt düzeyi D

Cam Laktatlı ringer 0,25 & 5 mg/ml 4°C Işıktan koruyunuz
60 Gün
561
Kanıt düzeyi D

Cam Sodyum klorür % 0,45 0,25 & 5 mg/ml -15°C Işıktan koruyunuz
30 Gün
561
Kanıt düzeyi D

Cam Sodyum klorür % 0,45 0,25 & 5 mg/ml 25°C Belirtilmemiş
24 Zaman
561
Kanıt düzeyi D

Cam Sodyum klorür % 0,45 0,25 & 5 mg/ml 4°C Işıktan koruyunuz
60 Gün
561
Kanıt düzeyi D

Polivinil klorür Sodyum klorür % 0,9 5 mg/ml 25°C I_ık
48 Zaman
434

Polivinil klorür Sodyum klorür % 0,9 5 mg/ml 4°C Işıktan koruyunuz
8 Zaman
434

Polivinil klorür Glukoz %5 20 mg/ml -20°C Işıktan koruyunuz
30 Gün
575
biyolojik analiz

Polivinil klorür Glukoz %5 5 mg/ml 25°C I_ık
48 Zaman
434

Polivinil klorür Glukoz %5 5 mg/ml 4°C Işıktan koruyunuz
48 Zaman
434

Etilen vinil asetat (EVA) Sodyum klorür % 0,9 0,25 & 5 mg/ml 23°C Işıktan koruyunuz
7 Gün
1816
Kanıt düzeyi A+

Etilen vinil asetat (EVA) Sodyum klorür % 0,9 0,25 & 5 mg/ml 4°C Işıktan koruyunuz
30 Gün
1816
Kanıt düzeyi A+

Şırınga polipropilen Sodyum klorür % 0,9 190 mg/ml 22°C-23°C I_ık
48 Zaman
639
Kanıt düzeyi D

poliizopren elastomer Glukoz %5 0,25 & 20 mg/ml 25°C Belirtilmemiş
24 Zaman
604
Üreticinin stabilite verileri


  Mentions Légales