Ultimo aggiornamento :
18/03/2026
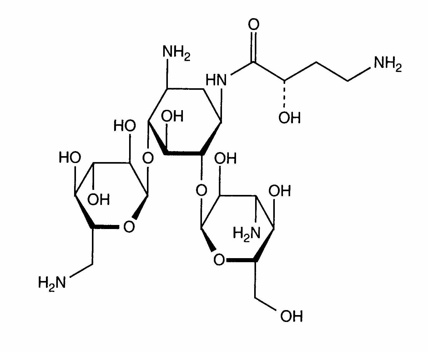
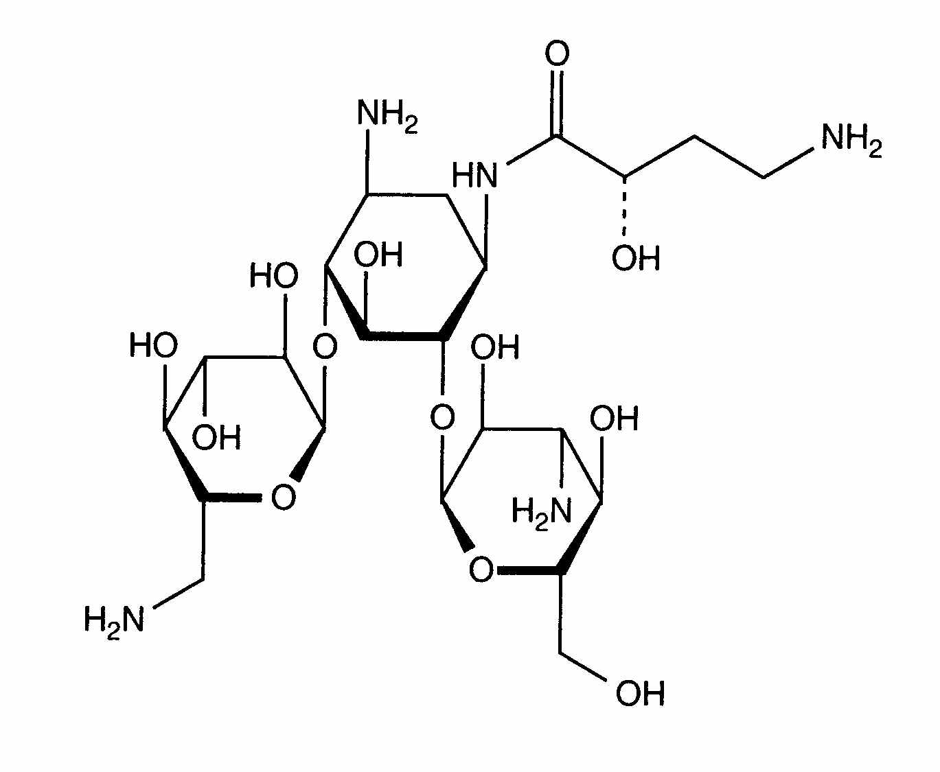
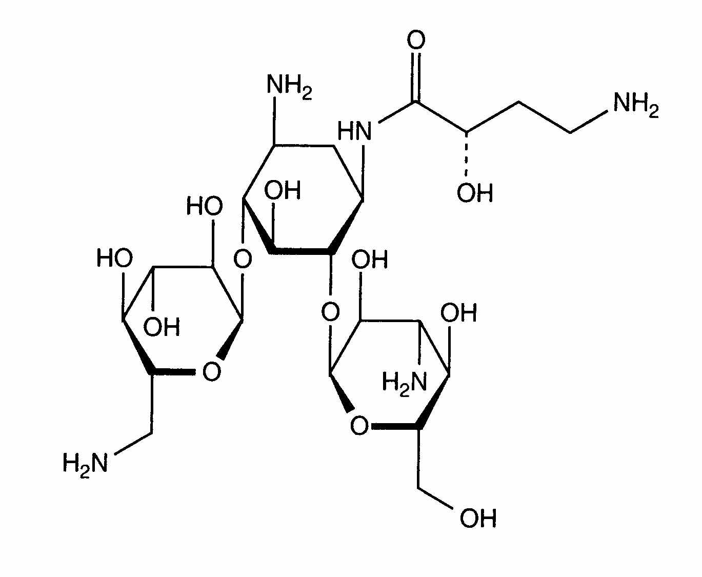
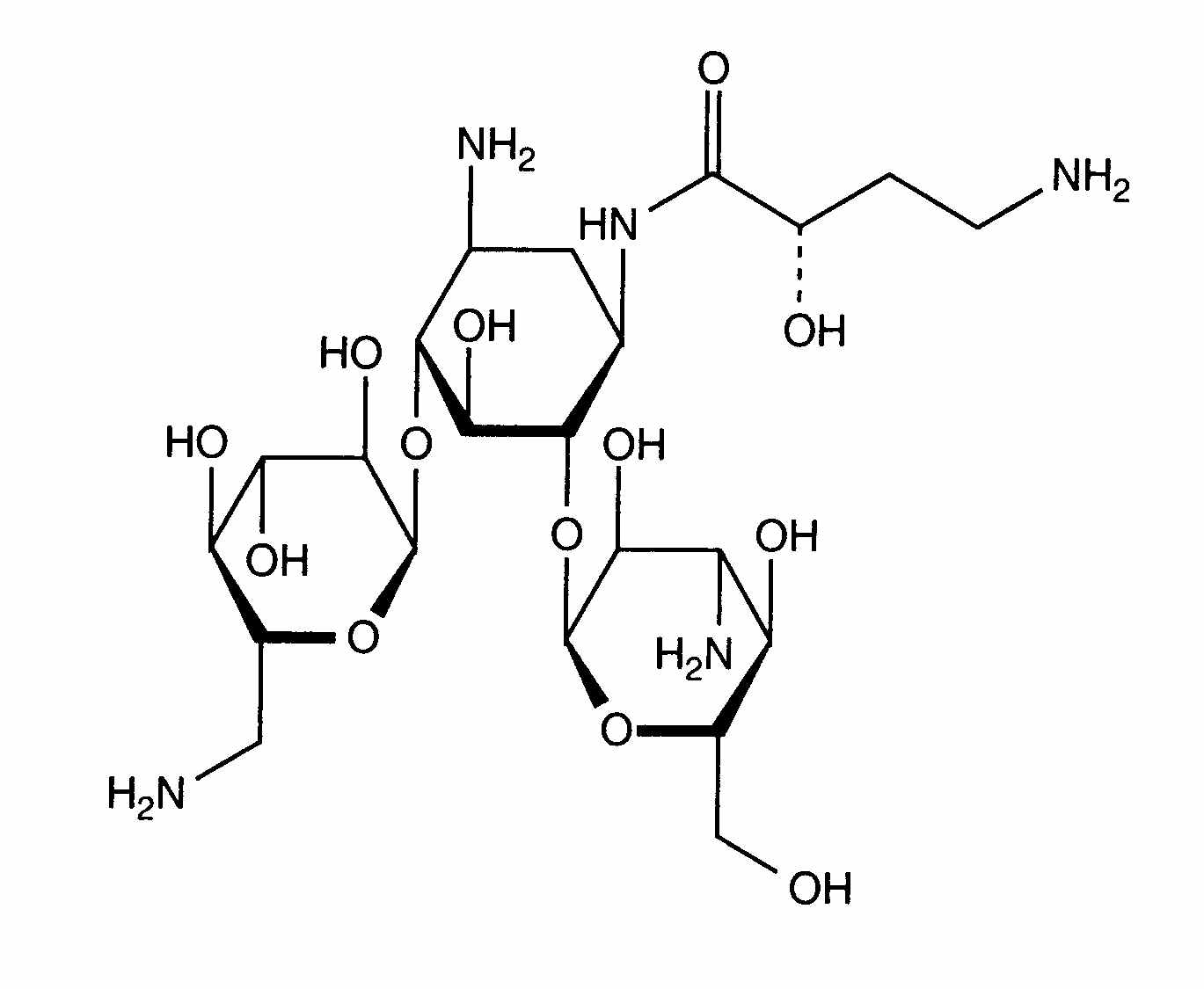
Antibiotico   Amikacin sulfate  
Iniezione
Stabilità in soluzione Stabilità in miscela Fattori che influenzano la stabilità Compatibilità metodo di iniezione Bibliografia pdf
   Struttura chimica  

Nome commerciale   Nome commerciale     

Trade names are indicative and excipients composition can be different depending on the country and manufacturers

Adnet India
Agnicin Messico
Akamin Ecuador
Akim Ecuador
Amicacil Brasile
Amicilon Brasile
Amicin Malaysia
Amicip Venezuela
Amijeksin Turchia
Amikabiot Ecuador, Perù
Amikacin Arabia Saudita, Canada, Egitto, Germania, Gran Bretagna, Iran, Malaysia, nuova Zelanda, Stati Uniti d’America
Amikacina Argentina, Chile, Colombia, Ecuador, Italia, Messico, Perù, Spagna, Venezuela
Amikacine Belgio, Francia, Marocco, Paesi Bassi
Amikafur Messico
Amikagram Perù
Amikalem Messico
Amikamed Perù
Amikamek Perù
Amikan Italia
Amikavax Venezuela
Amikaver Turchia
Amikayect Messico
Amikem Perù
Amiketem Turchia
Amikin Arabia Saudita, Australia, Brasile, Colombia, Ecuador, Egitto, Gran Bretagna, Irlanda, Messico, Perù, Polonia, Stati Uniti d’America, Svizzera, Tunisia, Ungheria
Amiklin Francia, Turchia
Amikosit Romania, Tunisia, Turchia
Amikram Perù
Amukin Belgio, Lussemburgo, Paesi Bassi
Apalin Malaysia
Baxi K Chile, Messico
Behcacin India, Venezuela
Belka India
Biclin Austria, Finlandia, Germania, Messico, Portogallo, Spagna, Svezia
Biodacyna Polonia
Biokacin Messico
Briklin Grecia
Cadicin India
Chemacin Italia
Cikabit India
Cinamica India
Cinas India
Consumonit Grecia
Domak India
Doxocar Argentina
Elcin India
Elmik India
Emcin India
Emica India
Farcyclin Grecia
Flexelite Grecia
Greini Argentina
Ipacin Iran
Itukacin Perù
Kancin Grecia
Lanomycin Grecia
Lukadin Italia
Masmika India
Mediamik Italia
Micalpha Grecia
Micigen Messico
Migracin Italia
Mikacin Arabia Saudita
Nekacin Italia
Novamin Brasile
Orlobin Grecia
Remikin Grecia
Rovericlin Grecia
Uzix Grecia
Stabilità in soluzione   Iniezione   Stabilità in soluzione : Amikacin sulfate     
contenitore Solvente Concentrazione Temperatura Conservazione Durata della stabilità Bibliografia
Vetro Cloruro di sodio 0,9% 0,25 & 5 mg/ml -15°C Al riparo dalla luce
30 Giorno
561
Livello di evidenza D

Vetro Cloruro di sodio 0,9% 0,25 & 5 mg/ml 25°C Non precisata
24 Ora
561
Livello di evidenza D

Vetro Cloruro di sodio 0,9% 0,25 & 5 mg/ml 4°C Al riparo dalla luce
60 Giorno
561
Livello di evidenza D

Vetro Cloruro di sodio 0,9% 4 mg/ml 25°C Non precisata
48 Ora
565
Livello di evidenza D

Vetro Glucosio 5% 0,25 & 5 mg/ml -15°C Al riparo dalla luce
30 Giorno
561
Livello di evidenza D

Vetro Glucosio 5% 0,25 & 5 mg/ml 25°C Non precisata
24 Ora
561
Livello di evidenza D

Vetro Glucosio 5% 0,25 & 5 mg/ml 4°C Al riparo dalla luce
60 Giorno
561
Livello di evidenza D

Vetro Glucosio 5% 4 mg/ml 25°C Non precisata
48 Ora
565
Livello di evidenza D

Vetro Ringer lattato 0,25 & 5 mg/ml -15°C Al riparo dalla luce
30 Giorno
561
Livello di evidenza D

Vetro Ringer lattato 0,25 & 5 mg/ml 25°C Non precisata
24 Ora
561
Livello di evidenza D

Vetro Ringer lattato 0,25 & 5 mg/ml 4°C Al riparo dalla luce
60 Giorno
561
Livello di evidenza D

Vetro Cloruro di sodio 0,45% 0,25 & 5 mg/ml -15°C Al riparo dalla luce
30 Giorno
561
Livello di evidenza D

Vetro Cloruro di sodio 0,45% 0,25 & 5 mg/ml 25°C Non precisata
24 Ora
561
Livello di evidenza D

Vetro Cloruro di sodio 0,45% 0,25 & 5 mg/ml 4°C Al riparo dalla luce
60 Giorno
561
Livello di evidenza D

Cloruro di polivinile Cloruro di sodio 0,9% 5 mg/ml 25°C Luce
48 Ora
434

Cloruro di polivinile Cloruro di sodio 0,9% 5 mg/ml 4°C Al riparo dalla luce
8 Ora
434

Cloruro di polivinile Glucosio 5% 20 mg/ml -20°C Al riparo dalla luce
30 Giorno
575
Analisi biologica

Cloruro di polivinile Glucosio 5% 5 mg/ml 25°C Luce
48 Ora
434

Cloruro di polivinile Glucosio 5% 5 mg/ml 4°C Al riparo dalla luce
48 Ora
434

Etilene vinilacetato Cloruro di sodio 0,9% 0,25 & 5 mg/ml 23°C Al riparo dalla luce
7 Giorno
1816
Livello di evidenza A+

Etilene vinilacetato Cloruro di sodio 0,9% 0,25 & 5 mg/ml 4°C Al riparo dalla luce
30 Giorno
1816
Livello di evidenza A+

siringa polipropilene Cloruro di sodio 0,9% 190 mg/ml 22°C-23°C Luce
48 Ora
639
Livello di evidenza D

Elastomero poliisoprenico Glucosio 5% 0,25 & 20 mg/ml 25°C Non precisata
24 Ora
604
Dati di stabilità del produttore


  Mentions Légales