Ultimele actualizari :
12/12/2025
Antibiotic   Amikacin sulfate  
Injectabil
Stabilitatea in solutie Stabilitatea in amestec Factorii care influenteaza stabilitatea Compatibilitate Microunde Bibliografie pdf
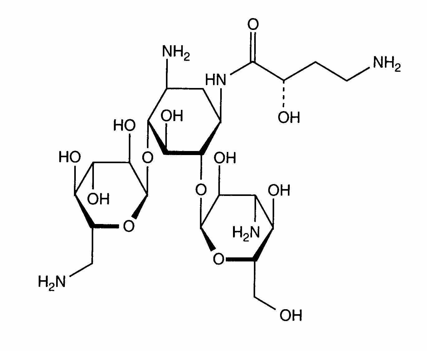
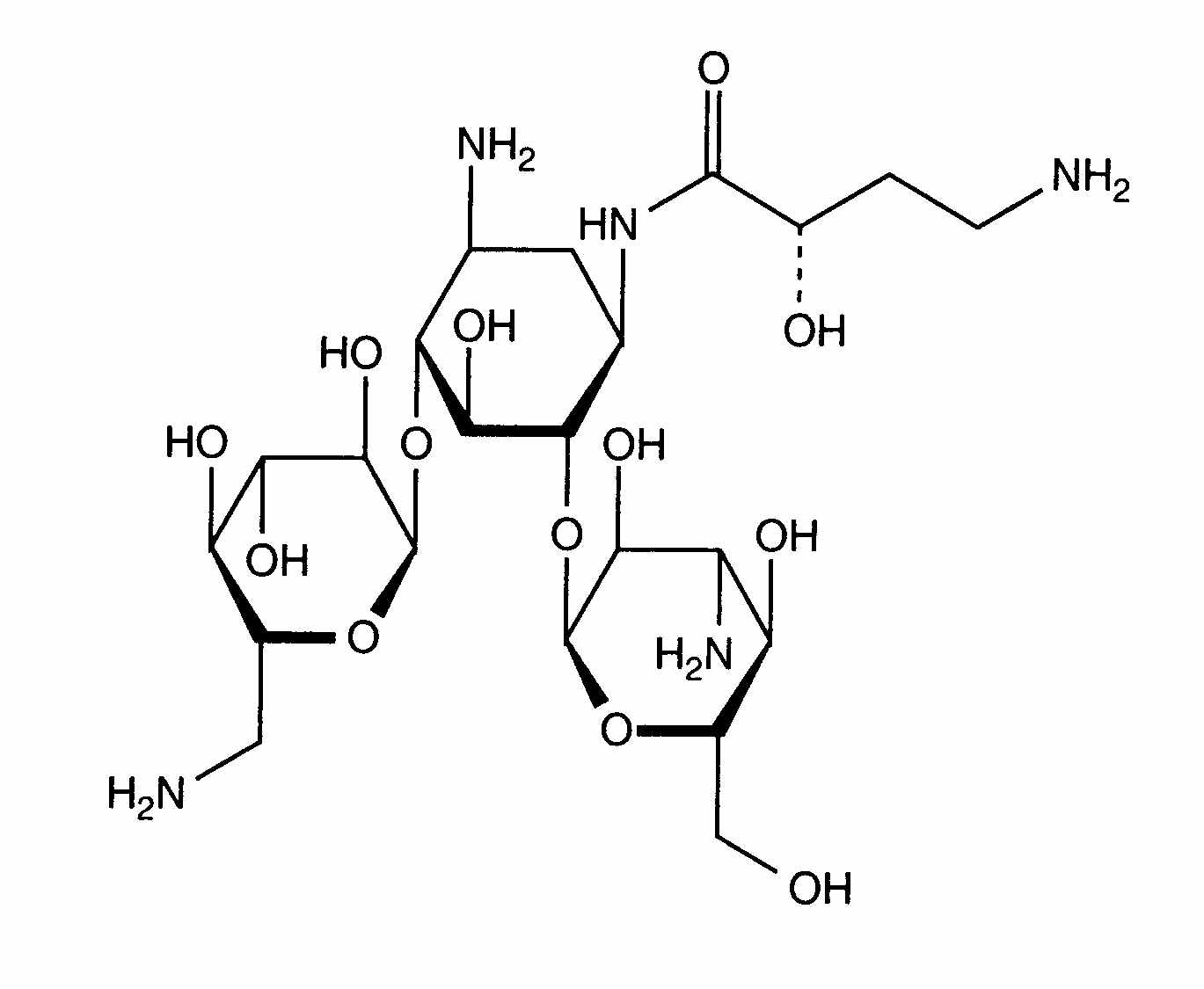
   Formula chimica  

Denumirea comerciala   Denumirea comerciala     

Trade names are indicative and excipients composition can be different depending on the country and manufacturers

Adnet India
Agnicin Mexic
Akamin Ecuador
Akim Ecuador
Amicacil Brazilia
Amicilon Brazilia
Amicin Malaezia
Amicip Venezuela
Amijeksin Turcia
Amikabiot Ecuador, Peru
Amikacin Arabia Saudita, Canada, Egipt, Germania, Iran, Malaezia, Marea Britanie, noua Zeelandă, SUA
Amikacina Argentina, Chilli, Columbia, Ecuador, Italia, Mexic, Peru, Spania, Venezuela
Amikacine Belgia, Franta, Maroc, Olanda
Amikafur Mexic
Amikagram Peru
Amikalem Mexic
Amikamed Peru
Amikamek Peru
Amikan Italia
Amikavax Venezuela
Amikaver Turcia
Amikayect Mexic
Amikem Peru
Amiketem Turcia
Amikin Arabia Saudita, Australia, Brazilia, Columbia, Ecuador, Egipt, Elvetia, Irlanda, Marea Britanie, Mexic, Peru, Polonia, SUA, Tunisia, Ungaria
Amiklin Franta, Turcia
Amikosit Romania, Tunisia, Turcia
Amikram Peru
Amukin Belgia, Luxemburg, Olanda
Apalin Malaezia
Baxi K Chilli, Mexic
Behcacin India, Venezuela
Belka India
Biclin Austria, Finlanda, Germania, Mexic, Portugalia, Spania, Suedia
Biodacyna Polonia
Biokacin Mexic
Briklin Grecia
Cadicin India
Chemacin Italia
Cikabit India
Cinamica India
Cinas India
Consumonit Grecia
Domak India
Doxocar Argentina
Elcin India
Elmik India
Emcin India
Emica India
Farcyclin Grecia
Flexelite Grecia
Greini Argentina
Ipacin Iran
Itukacin Peru
Kancin Grecia
Lanomycin Grecia
Lukadin Italia
Masmika India
Mediamik Italia
Micalpha Grecia
Micigen Mexic
Migracin Italia
Mikacin Arabia Saudita
Nekacin Italia
Novamin Brazilia
Orlobin Grecia
Remikin Grecia
Rovericlin Grecia
Uzix Grecia
Stabilitatea in solutie   Injectabil   Stabilitatea in solutie : Amikacin sulfate     
Continut Solvent Concentratie Temperatura Conservare Durata stabilității Bibiografie
sticla clorura de sodiu 0,9% 0,25 & 5 mg/ml -15°C Ferit de lumina
30 Ziua
561
Nivel de evidență D

sticla clorura de sodiu 0,9% 0,25 & 5 mg/ml 25°C Neprecizat
24 Ora
561
Nivel de evidență D

sticla clorura de sodiu 0,9% 0,25 & 5 mg/ml 4°C Ferit de lumina
60 Ziua
561
Nivel de evidență D

sticla clorura de sodiu 0,9% 4 mg/ml 25°C Neprecizat
48 Ora
565
Nivel de evidență D

sticla Glucoza 5% 0,25 & 5 mg/ml -15°C Ferit de lumina
30 Ziua
561
Nivel de evidență D

sticla Glucoza 5% 0,25 & 5 mg/ml 25°C Neprecizat
24 Ora
561
Nivel de evidență D

sticla Glucoza 5% 0,25 & 5 mg/ml 4°C Ferit de lumina
60 Ziua
561
Nivel de evidență D

sticla Glucoza 5% 4 mg/ml 25°C Neprecizat
48 Ora
565
Nivel de evidență D

sticla Solutie Ringer lactat 0,25 & 5 mg/ml -15°C Ferit de lumina
30 Ziua
561
Nivel de evidență D

sticla Solutie Ringer lactat 0,25 & 5 mg/ml 25°C Neprecizat
24 Ora
561
Nivel de evidență D

sticla Solutie Ringer lactat 0,25 & 5 mg/ml 4°C Ferit de lumina
60 Ziua
561
Nivel de evidență D

sticla clorura de sodiu 0,45% 0,25 & 5 mg/ml -15°C Ferit de lumina
30 Ziua
561
Nivel de evidență D

sticla clorura de sodiu 0,45% 0,25 & 5 mg/ml 25°C Neprecizat
24 Ora
561
Nivel de evidență D

sticla clorura de sodiu 0,45% 0,25 & 5 mg/ml 4°C Ferit de lumina
60 Ziua
561
Nivel de evidență D

clorura de polivinil clorura de sodiu 0,9% 5 mg/ml 25°C Lumina
48 Ora
434

clorura de polivinil clorura de sodiu 0,9% 5 mg/ml 4°C Ferit de lumina
8 Ora
434

clorura de polivinil Glucoza 5% 20 mg/ml -20°C Ferit de lumina
30 Ziua
575
Analiza biologică

clorura de polivinil Glucoza 5% 5 mg/ml 25°C Lumina
48 Ora
434

clorura de polivinil Glucoza 5% 5 mg/ml 4°C Ferit de lumina
48 Ora
434

etilen vinil acetat clorura de sodiu 0,9% 0,25 & 5 mg/ml 23°C Ferit de lumina
7 Ziua
1816
Nivel de evidență A+

etilen vinil acetat clorura de sodiu 0,9% 0,25 & 5 mg/ml 4°C Ferit de lumina
30 Ziua
1816
Nivel de evidență A+

seringă polipropileno clorura de sodiu 0,9% 190 mg/ml 22°C-23°C Lumina
48 Ora
639
Nivel de evidență D

Elastomer poliizoprenic Glucoza 5% 0,25 & 20 mg/ml 25°C Neprecizat
24 Ora
604
Documentele de stabilitate ale producătorului


  Mentions Légales