Última actualização :
27/01/2026
antibiótico   Amikacin sulfate  
injetável
Estabilidade em soluções simples Estabilidade em misturas Factores que afectam a sua estabilidade Compatibilidade Método de administração Bibliografía pdf
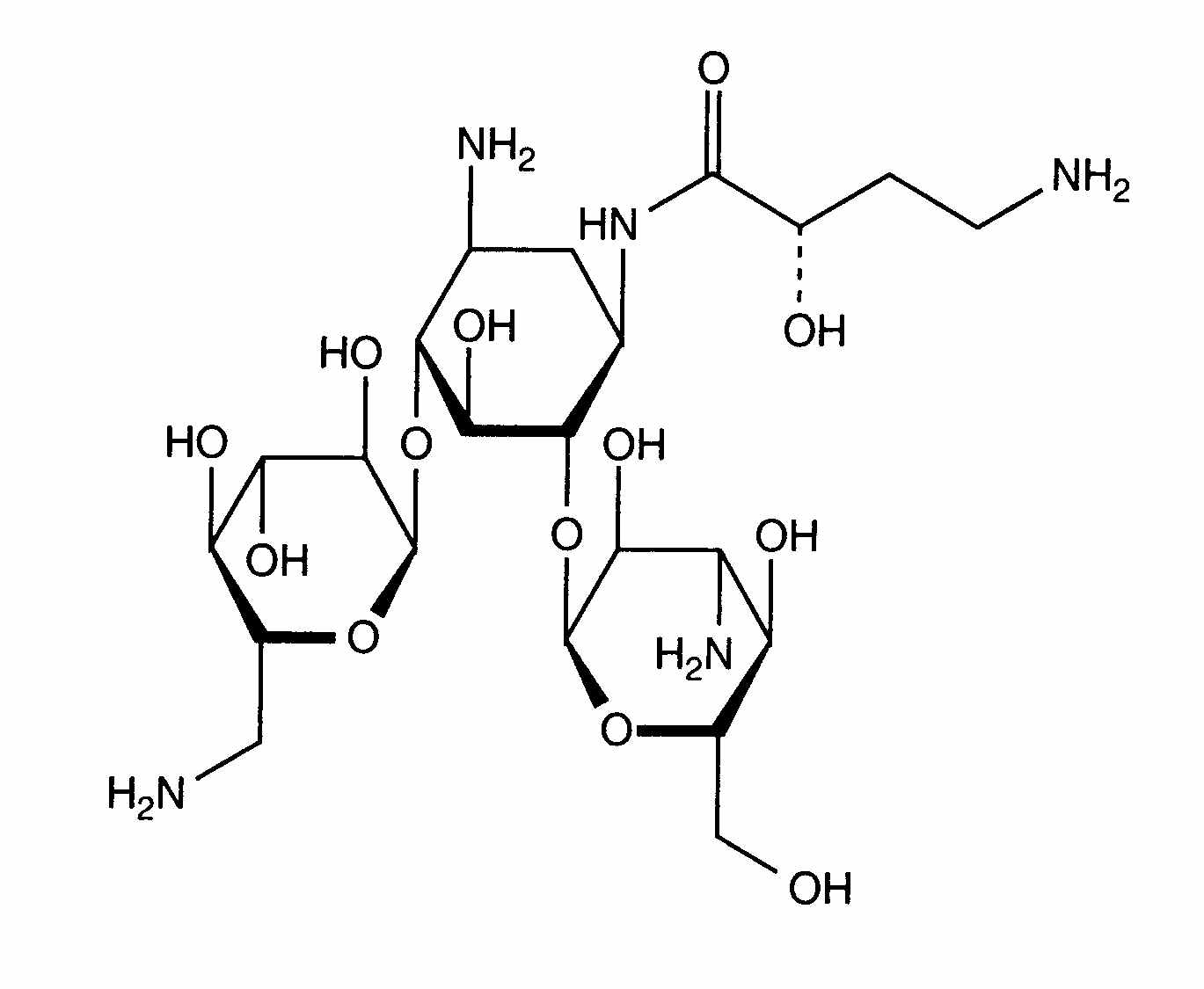
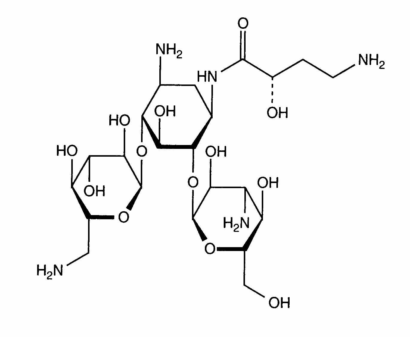
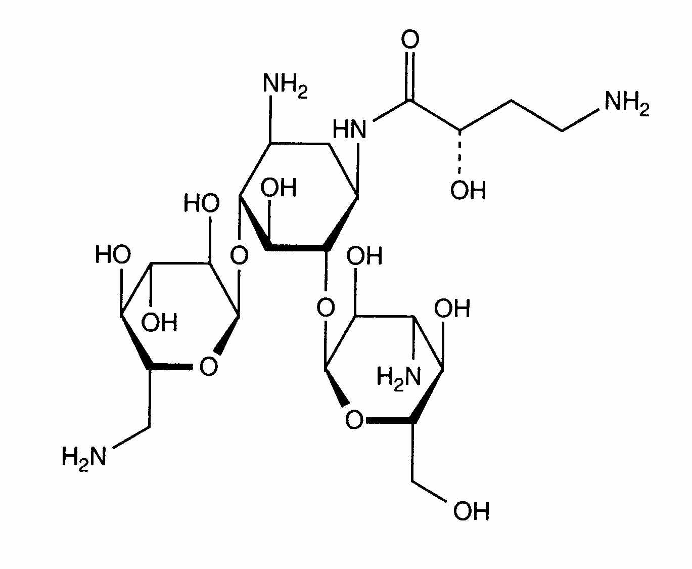
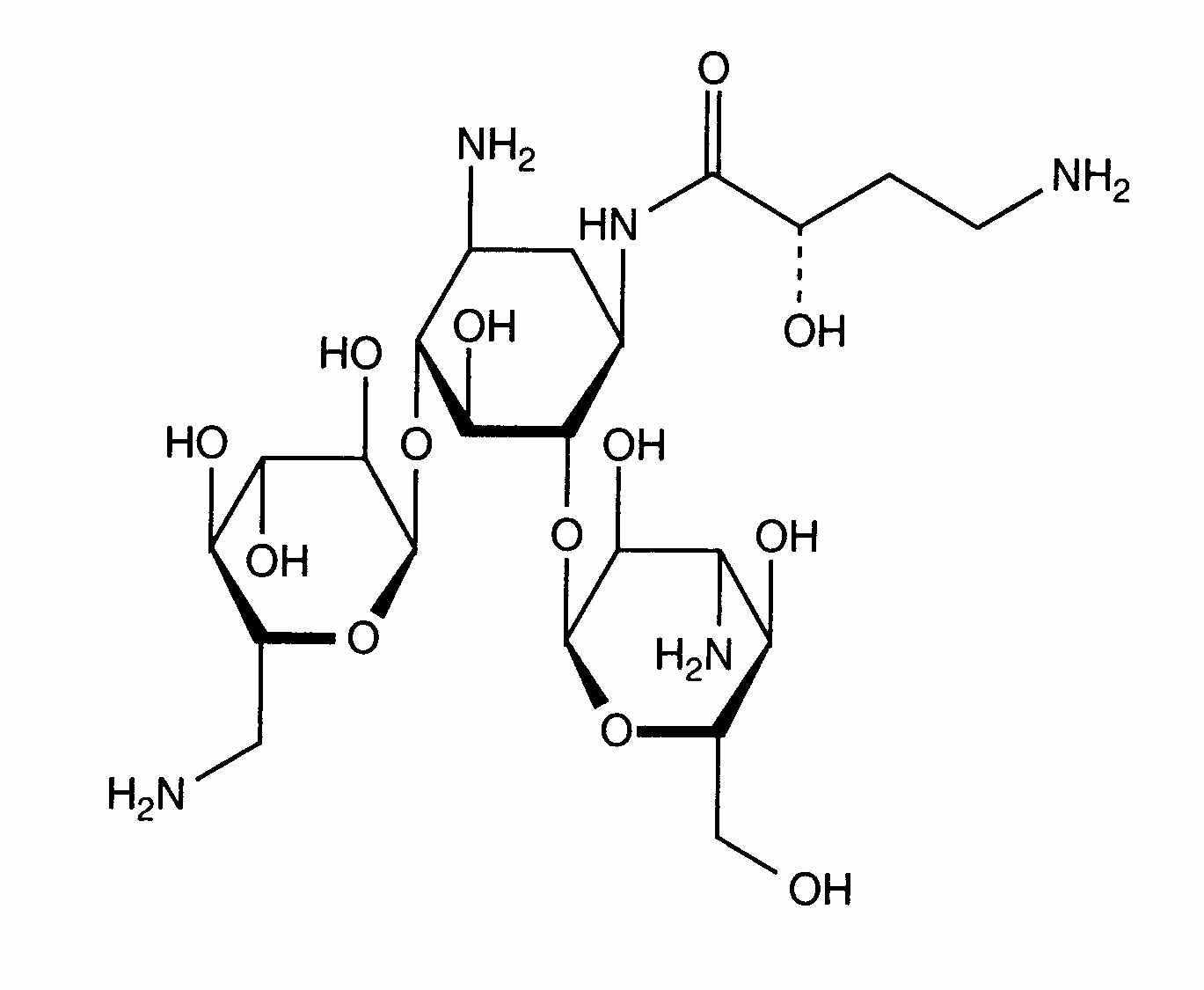
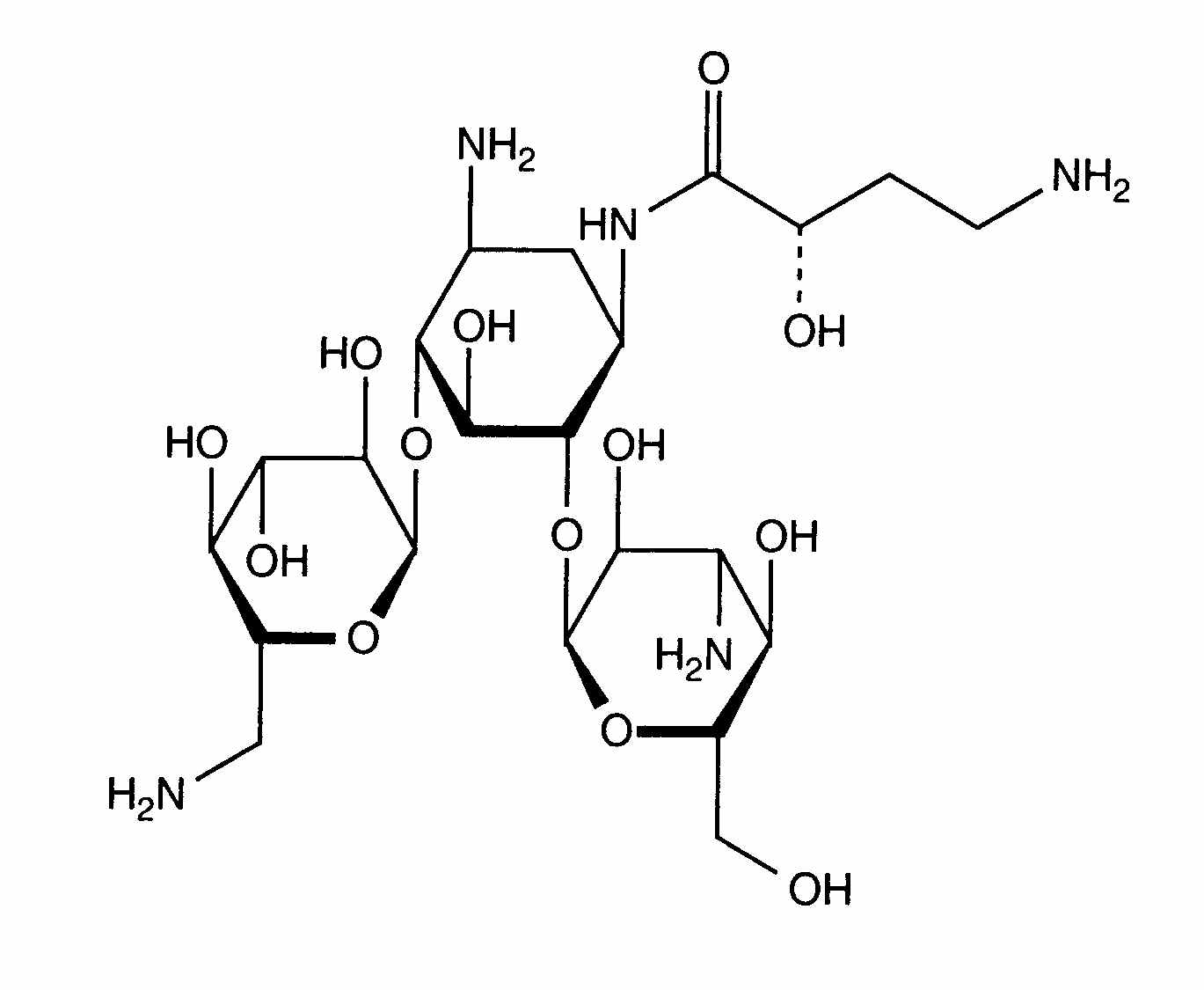
   estrutura química  

Nomes comerciais nos diversos países   Nomes comerciais nos diversos países     

OS NOMES COMERCIAIS SÃO INDICATIVOS E OS EXCIPIENTES DA FORMULAÇÃO PODEM SER DIFERENTES CONFORME O PAÍS E FABRICANTE.

Adnet Índia
Agnicin México
Akamin Equator
Akim Equator
Amicacil Brasil
Amicilon Brasil
Amicin Malásia
Amicip Venezuela
Amijeksin Turquia
Amikabiot Equator, Peru
Amikacin Alemanha, Arábia Saudita, Canadá, Egipto, Estados Unidos de América, Gran-bretanha, Irã, Malásia, nova Zelândia
Amikacina Argentina, Chilli, Colômbia, Equator, Espanha, Itália, México, Peru, Venezuela
Amikacine Bélgica, França, Marrocos, Países Baixos
Amikafur México
Amikagram Peru
Amikalem México
Amikamed Peru
Amikamek Peru
Amikan Itália
Amikavax Venezuela
Amikaver Turquia
Amikayect México
Amikem Peru
Amiketem Turquia
Amikin Arábia Saudita, Australia, Brasil, Colômbia, Egipto, Equator, Estados Unidos de América, Gran-bretanha, Hungria, Irlanda, México, Peru, Polonia, Suicia, Tunísia
Amiklin França, Turquia
Amikosit Romènia, Tunísia, Turquia
Amikram Peru
Amukin Bélgica, Luxemburgo, Países Baixos
Apalin Malásia
Baxi K Chilli, México
Behcacin Índia, Venezuela
Belka Índia
Biclin Alemanha, Austria, Espanha, Finlandia, México, Portugal, Suècia
Biodacyna Polonia
Biokacin México
Briklin Grècia
Cadicin Índia
Chemacin Itália
Cikabit Índia
Cinamica Índia
Cinas Índia
Consumonit Grècia
Domak Índia
Doxocar Argentina
Elcin Índia
Elmik Índia
Emcin Índia
Emica Índia
Farcyclin Grècia
Flexelite Grècia
Greini Argentina
Ipacin Irã
Itukacin Peru
Kancin Grècia
Lanomycin Grècia
Lukadin Itália
Masmika Índia
Mediamik Itália
Micalpha Grècia
Micigen México
Migracin Itália
Mikacin Arábia Saudita
Nekacin Itália
Novamin Brasil
Orlobin Grècia
Remikin Grècia
Rovericlin Grècia
Uzix Grècia
Estabilidade em soluções simples   injetável   Estabilidade em soluções simples : Amikacin sulfate     
Embalagem Solvente concentração temperatura conservação Duração da estabilidade Bibliografia
vidro cloreto de sódio 0,9% 0,25 & 5 mg/ml -15°C ao abrigo da luz
30 dia
561
Nível de evidência D

vidro cloreto de sódio 0,9% 0,25 & 5 mg/ml 25°C no especificado
24 hora
561
Nível de evidência D

vidro cloreto de sódio 0,9% 0,25 & 5 mg/ml 4°C ao abrigo da luz
60 dia
561
Nível de evidência D

vidro cloreto de sódio 0,9% 4 mg/ml 25°C no especificado
48 hora
565
Nível de evidência D

vidro Glucose 5% 0,25 & 5 mg/ml -15°C ao abrigo da luz
30 dia
561
Nível de evidência D

vidro Glucose 5% 0,25 & 5 mg/ml 25°C no especificado
24 hora
561
Nível de evidência D

vidro Glucose 5% 0,25 & 5 mg/ml 4°C ao abrigo da luz
60 dia
561
Nível de evidência D

vidro Glucose 5% 4 mg/ml 25°C no especificado
48 hora
565
Nível de evidência D

vidro Ringer lactato 0,25 & 5 mg/ml -15°C ao abrigo da luz
30 dia
561
Nível de evidência D

vidro Ringer lactato 0,25 & 5 mg/ml 25°C no especificado
24 hora
561
Nível de evidência D

vidro Ringer lactato 0,25 & 5 mg/ml 4°C ao abrigo da luz
60 dia
561
Nível de evidência D

vidro cloreto de sódio 0,45% 0,25 & 5 mg/ml -15°C ao abrigo da luz
30 dia
561
Nível de evidência D

vidro cloreto de sódio 0,45% 0,25 & 5 mg/ml 25°C no especificado
24 hora
561
Nível de evidência D

vidro cloreto de sódio 0,45% 0,25 & 5 mg/ml 4°C ao abrigo da luz
60 dia
561
Nível de evidência D

Cloreto de polivinilo cloreto de sódio 0,9% 5 mg/ml 25°C luz
48 hora
434

Cloreto de polivinilo cloreto de sódio 0,9% 5 mg/ml 4°C ao abrigo da luz
8 hora
434

Cloreto de polivinilo Glucose 5% 20 mg/ml -20°C ao abrigo da luz
30 dia
575
análise biológica

Cloreto de polivinilo Glucose 5% 5 mg/ml 25°C luz
48 hora
434

Cloreto de polivinilo Glucose 5% 5 mg/ml 4°C ao abrigo da luz
48 hora
434

Etil-vinil-acetato cloreto de sódio 0,9% 0,25 & 5 mg/ml 23°C ao abrigo da luz
7 dia
1816
Nível de evidência A+

Etil-vinil-acetato cloreto de sódio 0,9% 0,25 & 5 mg/ml 4°C ao abrigo da luz
30 dia
1816
Nível de evidência A+

seringa polipropylen cloreto de sódio 0,9% 190 mg/ml 22°C-23°C luz
48 hora
639
Nível de evidência D

Elastômero de poliisopreno Glucose 5% 0,25 & 20 mg/ml 25°C no especificado
24 hora
604
Dados estabilidade do fabricante


  Mentions Légales