Viimeisin päivitys :
27/01/2026
Antibiootit   Amikacin sulfate  
Injektioneste
Stabilius liuoksessa Stabilius seoksissa Tekijät, jotka vaikuttavat stabiliuteen Yhteensopivuus Antotapa Viitteet pdf
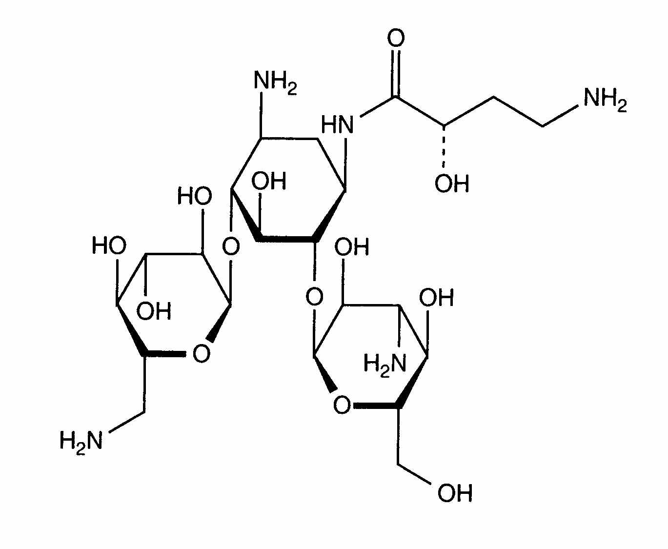
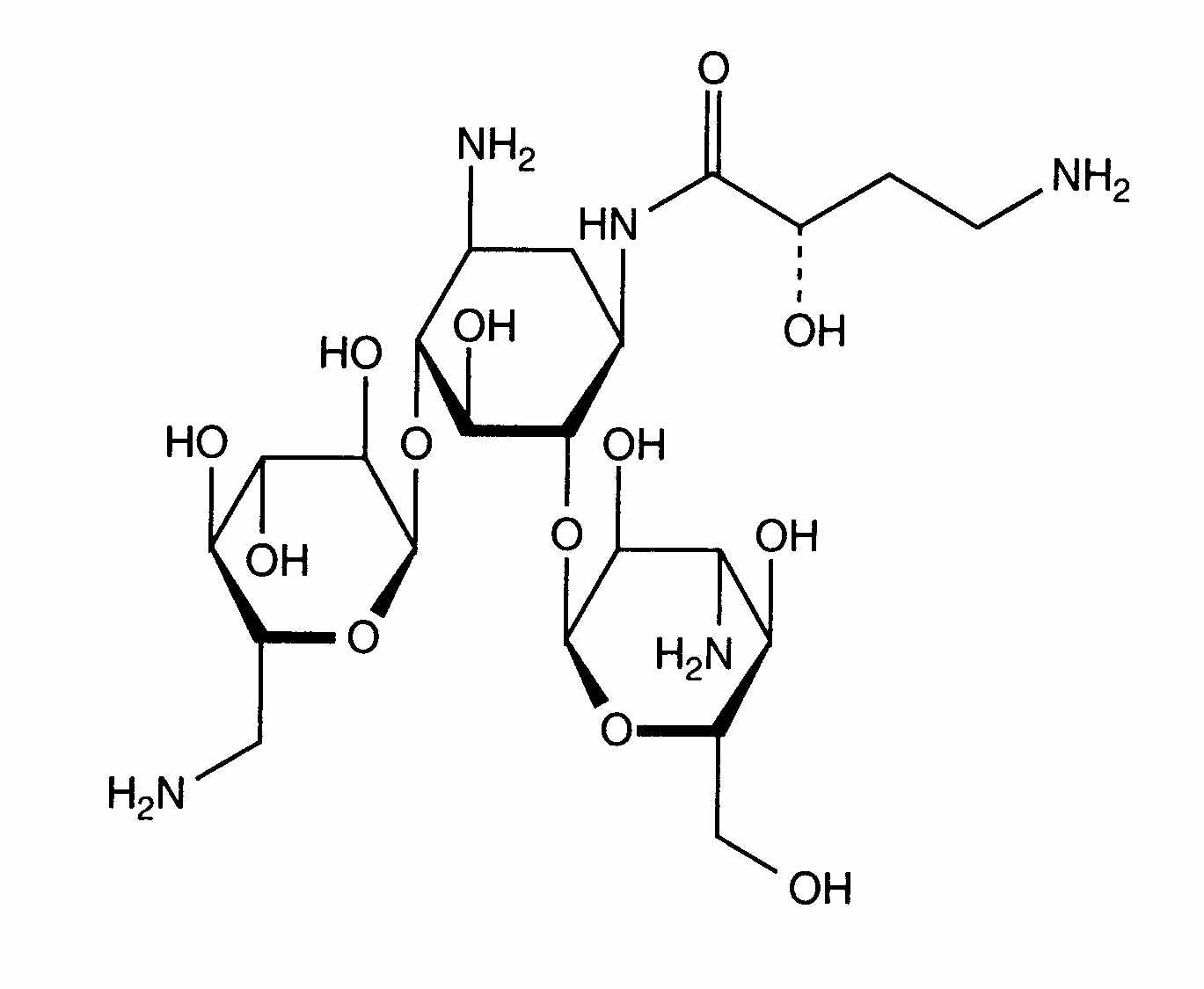
   Kemiallinen rakenne  

Kauppanimi   Kauppanimi     

Trade names are indicative and excipients composition can be different depending on the country and manufacturers

Adnet Intia
Agnicin Meksiko
Akamin Ecuador
Akim Ecuador
Amicacil Brasilia
Amicilon Brasilia
Amicin Malesia
Amicip Venezuela
Amijeksin Turkki
Amikabiot Ecuador, Marokko
Amikacin Egypti, Iran, Iso-Britannia, Kanada, Malesia, New Zealand, Saksa, Saudi-Arabia, Yhdysvallat
Amikacina Argentiina, Chile, Ecuador, Espanja, Italia, Kolumbia, Marokko, Meksiko, Venezuela
Amikacine Belgia, Hollanti, Marokko, Ranska
Amikafur Meksiko
Amikagram Marokko
Amikalem Meksiko
Amikamed Marokko
Amikamek Marokko
Amikan Italia
Amikavax Venezuela
Amikaver Turkki
Amikayect Meksiko
Amikem Marokko
Amiketem Turkki
Amikin Australia, Brasilia, Ecuador, Egypti, Irlanti, Iso-Britannia, Kolumbia, Marokko, Meksiko, Puola, Saudi-Arabia, Sveitsi, Tunisia, Unkari, Yhdysvallat
Amiklin Ranska, Turkki
Amikosit Romania, Tunisia, Turkki
Amikram Marokko
Amukin Belgia, Hollanti, Luxemburg
Apalin Malesia
Baxi K Chile, Meksiko
Behcacin Intia, Venezuela
Belka Intia
Biclin Espanja, Itävalta, Meksiko, Portugali, Ruotsi, Saksa, Suomi
Biodacyna Puola
Biokacin Meksiko
Briklin Kreikka
Cadicin Intia
Chemacin Italia
Cikabit Intia
Cinamica Intia
Cinas Intia
Consumonit Kreikka
Domak Intia
Doxocar Argentiina
Elcin Intia
Elmik Intia
Emcin Intia
Emica Intia
Farcyclin Kreikka
Flexelite Kreikka
Greini Argentiina
Ipacin Iran
Itukacin Marokko
Kancin Kreikka
Lanomycin Kreikka
Lukadin Italia
Masmika Intia
Mediamik Italia
Micalpha Kreikka
Micigen Meksiko
Migracin Italia
Mikacin Saudi-Arabia
Nekacin Italia
Novamin Brasilia
Orlobin Kreikka
Remikin Kreikka
Rovericlin Kreikka
Uzix Kreikka
Stabilius liuoksessa   Injektioneste   Stabilius liuoksessa : Amikacin sulfate     
Astia Liuotin Konsentraatio Lämpötila Säilytys Vakauden kesto Viitteet
Lasi Natriumkloridi 0,9% 0,25 & 5 mg/ml -15°C Suojattava valolta
30 Päivä
561
Näytön laajuus D

Lasi Natriumkloridi 0,9% 0,25 & 5 mg/ml 25°C Ei määritetty
24 tunti
561
Näytön laajuus D

Lasi Natriumkloridi 0,9% 0,25 & 5 mg/ml 4°C Suojattava valolta
60 Päivä
561
Näytön laajuus D

Lasi Natriumkloridi 0,9% 4 mg/ml 25°C Ei määritetty
48 tunti
565
Näytön laajuus D

Lasi Glukoosi 5% 0,25 & 5 mg/ml -15°C Suojattava valolta
30 Päivä
561
Näytön laajuus D

Lasi Glukoosi 5% 0,25 & 5 mg/ml 25°C Ei määritetty
24 tunti
561
Näytön laajuus D

Lasi Glukoosi 5% 0,25 & 5 mg/ml 4°C Suojattava valolta
60 Päivä
561
Näytön laajuus D

Lasi Glukoosi 5% 4 mg/ml 25°C Ei määritetty
48 tunti
565
Näytön laajuus D

Lasi Ringerlaktaattiliuos 0,25 & 5 mg/ml -15°C Suojattava valolta
30 Päivä
561
Näytön laajuus D

Lasi Ringerlaktaattiliuos 0,25 & 5 mg/ml 25°C Ei määritetty
24 tunti
561
Näytön laajuus D

Lasi Ringerlaktaattiliuos 0,25 & 5 mg/ml 4°C Suojattava valolta
60 Päivä
561
Näytön laajuus D

Lasi Natriumkloridi 0,45% 0,25 & 5 mg/ml -15°C Suojattava valolta
30 Päivä
561
Näytön laajuus D

Lasi Natriumkloridi 0,45% 0,25 & 5 mg/ml 25°C Ei määritetty
24 tunti
561
Näytön laajuus D

Lasi Natriumkloridi 0,45% 0,25 & 5 mg/ml 4°C Suojattava valolta
60 Päivä
561
Näytön laajuus D

Polyvinyylikloridi Natriumkloridi 0,9% 5 mg/ml 25°C Valo
48 tunti
434

Polyvinyylikloridi Natriumkloridi 0,9% 5 mg/ml 4°C Suojattava valolta
8 tunti
434

Polyvinyylikloridi Glukoosi 5% 20 mg/ml -20°C Suojattava valolta
30 Päivä
575
Biologinen menetelmä

Polyvinyylikloridi Glukoosi 5% 5 mg/ml 25°C Valo
48 tunti
434

Polyvinyylikloridi Glukoosi 5% 5 mg/ml 4°C Suojattava valolta
48 tunti
434

Etyleenivinyyliasetaatti Natriumkloridi 0,9% 0,25 & 5 mg/ml 23°C Suojattava valolta
7 Päivä
1816
Näytön laajuus A+

Etyleenivinyyliasetaatti Natriumkloridi 0,9% 0,25 & 5 mg/ml 4°C Suojattava valolta
30 Päivä
1816
Näytön laajuus A+

Ruisku  polypropeeni Natriumkloridi 0,9% 190 mg/ml 22°C-23°C Valo
48 tunti
639
Näytön laajuus D

Polyisopreeni elastomeeri Glukoosi 5% 0,25 & 20 mg/ml 25°C Ei määritetty
24 tunti
604
Valmistajan antamat stabiiliustiedot


  Mentions Légales