Poslední aktualizace :
27/01/2026
Antibiotikas   Amikacin sulfate  
Įpurškimas
Tirpalų stabilumas Mišinių stabilumas Stabilumą lemiantys veiksniai Suderinamumas Leidimo būdai Bibliografija pdf
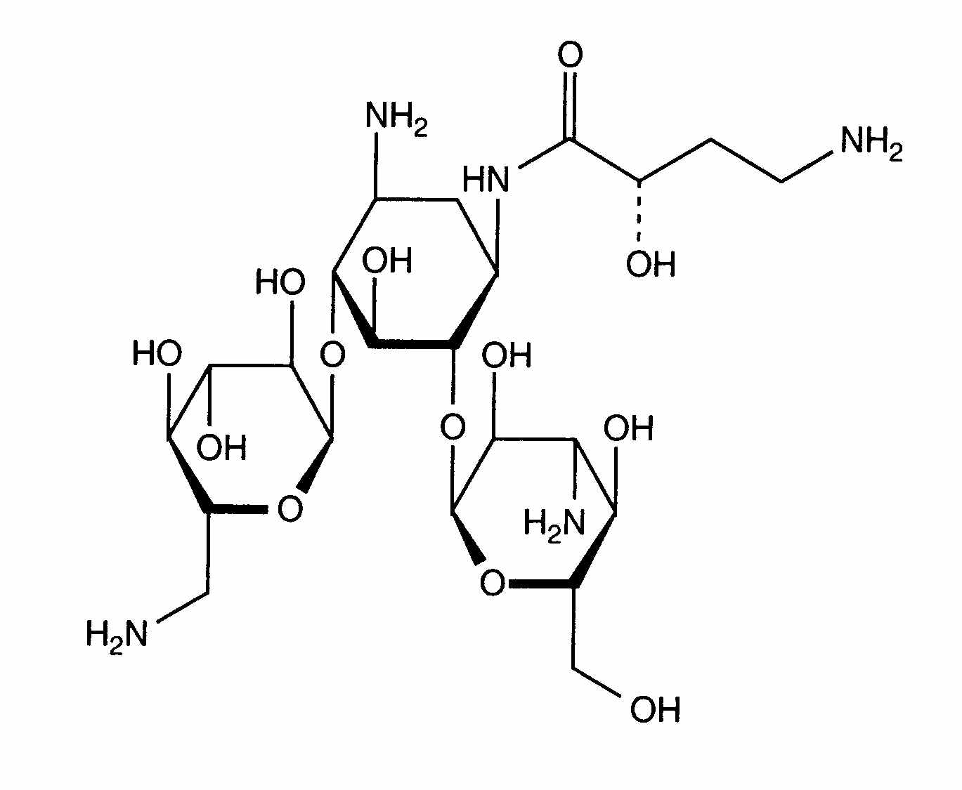
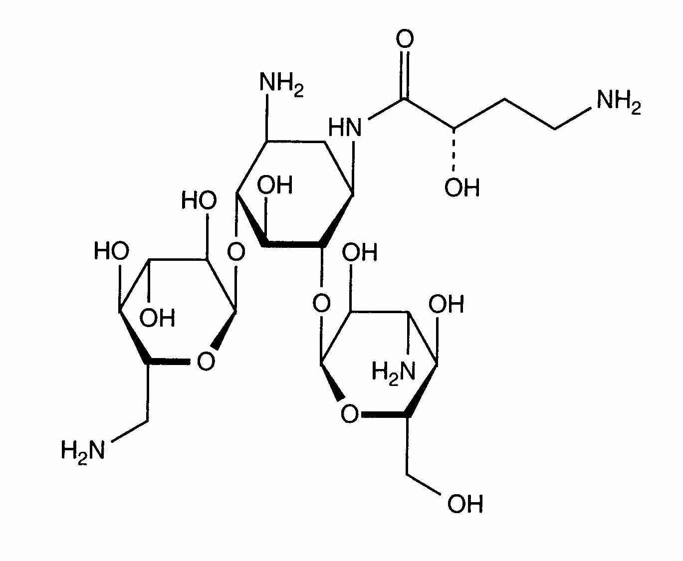
   Cheminė sandara  

Prekinis pavadinimas   Prekinis pavadinimas     

Trade names are indicative and excipients composition can be different depending on the country and manufacturers

Adnet Indija
Agnicin Meksikas
Akamin Ekvadoras
Akim Ekvadoras
Amicacil Brazilija
Amicilon Brazilija
Amicin Malaizija
Amicip Venesuela
Amijeksin Turkija
Amikabiot Ekvadoras, Peru
Amikacin Didžioji Britanija, Egiptas, Iranas, Jungtinės Amerikos Valstijos, Kanada, Malaizija, Naujojoje Zelandijoje, Saudo Arabija, Vokietija
Amikacina Argentina, Čilė, Ekvadoras, Ispanija, Italija, Kolumbija, Meksikas, Peru, Venesuela
Amikacine Belgija, Marokas, Olandija, Prancūzija
Amikafur Meksikas
Amikagram Peru
Amikalem Meksikas
Amikamed Peru
Amikamek Peru
Amikan Italija
Amikavax Venesuela
Amikaver Turkija
Amikayect Meksikas
Amikem Peru
Amiketem Turkija
Amikin Airija, Australija, Brazilija, Didžioji Britanija, Egiptas, Ekvadoras, Jungtinės Amerikos Valstijos, Kolumbija, Lenkija, Meksikas, Peru, Saudo Arabija, Šveicarija, Tunisas, Vengrija
Amiklin Prancūzija, Turkija
Amikosit Rumunija, Tunisas, Turkija
Amikram Peru
Amukin Belgija, Liuksemburgas, Olandija
Apalin Malaizija
Baxi K Čilė, Meksikas
Behcacin Indija, Venesuela
Belka Indija
Biclin Austrija, Ispanija, Meksikas, Portugalija, Suomija, Švedija, Vokietija
Biodacyna Lenkija
Biokacin Meksikas
Briklin Graikija
Cadicin Indija
Chemacin Italija
Cikabit Indija
Cinamica Indija
Cinas Indija
Consumonit Graikija
Domak Indija
Doxocar Argentina
Elcin Indija
Elmik Indija
Emcin Indija
Emica Indija
Farcyclin Graikija
Flexelite Graikija
Greini Argentina
Ipacin Iranas
Itukacin Peru
Kancin Graikija
Lanomycin Graikija
Lukadin Italija
Masmika Indija
Mediamik Italija
Micalpha Graikija
Micigen Meksikas
Migracin Italija
Mikacin Saudo Arabija
Nekacin Italija
Novamin Brazilija
Orlobin Graikija
Remikin Graikija
Rovericlin Graikija
Uzix Graikija
Tirpalų stabilumas   Įpurškimas   Tirpalų stabilumas : Amikacin sulfate     
Pakuotė Tirpiklis Koncentracija Temperatūra Laikymas Stabilumo trukmė Nuorodos
Stiklas Natrio chloridas 0,9% 0,25 & 5 mg/ml -15°C Apsaugotas nuo šviesos
30 Diena
561
Bandymo lygis D

Stiklas Natrio chloridas 0,9% 0,25 & 5 mg/ml 25°C Nenurodyta
24 Valanda
561
Bandymo lygis D

Stiklas Natrio chloridas 0,9% 0,25 & 5 mg/ml 4°C Apsaugotas nuo šviesos
60 Diena
561
Bandymo lygis D

Stiklas Natrio chloridas 0,9% 4 mg/ml 25°C Nenurodyta
48 Valanda
565
Bandymo lygis D

Stiklas Gliukozė 5% 0,25 & 5 mg/ml -15°C Apsaugotas nuo šviesos
30 Diena
561
Bandymo lygis D

Stiklas Gliukozė 5% 0,25 & 5 mg/ml 25°C Nenurodyta
24 Valanda
561
Bandymo lygis D

Stiklas Gliukozė 5% 0,25 & 5 mg/ml 4°C Apsaugotas nuo šviesos
60 Diena
561
Bandymo lygis D

Stiklas Gliukozė 5% 4 mg/ml 25°C Nenurodyta
48 Valanda
565
Bandymo lygis D

Stiklas Ringerio laktato tirpalas 0,25 & 5 mg/ml -15°C Apsaugotas nuo šviesos
30 Diena
561
Bandymo lygis D

Stiklas Ringerio laktato tirpalas 0,25 & 5 mg/ml 25°C Nenurodyta
24 Valanda
561
Bandymo lygis D

Stiklas Ringerio laktato tirpalas 0,25 & 5 mg/ml 4°C Apsaugotas nuo šviesos
60 Diena
561
Bandymo lygis D

Stiklas Natrio chloridas 0,45% 0,25 & 5 mg/ml -15°C Apsaugotas nuo šviesos
30 Diena
561
Bandymo lygis D

Stiklas Natrio chloridas 0,45% 0,25 & 5 mg/ml 25°C Nenurodyta
24 Valanda
561
Bandymo lygis D

Stiklas Natrio chloridas 0,45% 0,25 & 5 mg/ml 4°C Apsaugotas nuo šviesos
60 Diena
561
Bandymo lygis D

Polivinilchloridas Natrio chloridas 0,9% 5 mg/ml 25°C Šviesa
48 Valanda
434

Polivinilchloridas Natrio chloridas 0,9% 5 mg/ml 4°C Apsaugotas nuo šviesos
8 Valanda
434

Polivinilchloridas Gliukozė 5% 20 mg/ml -20°C Apsaugotas nuo šviesos
30 Diena
575
Biologinis metodas

Polivinilchloridas Gliukozė 5% 5 mg/ml 25°C Šviesa
48 Valanda
434

Polivinilchloridas Gliukozė 5% 5 mg/ml 4°C Apsaugotas nuo šviesos
48 Valanda
434

Etileno vinilacetatas Natrio chloridas 0,9% 0,25 & 5 mg/ml 23°C Apsaugotas nuo šviesos
7 Diena
1816
Bandymo lygis A+

Etileno vinilacetatas Natrio chloridas 0,9% 0,25 & 5 mg/ml 4°C Apsaugotas nuo šviesos
30 Diena
1816
Bandymo lygis A+

Švirkštas polipropileno Natrio chloridas 0,9% 190 mg/ml 22°C-23°C Šviesa
48 Valanda
639
Bandymo lygis D

Poliizopreno elastomeras Gliukozė 5% 0,25 & 20 mg/ml 25°C Nenurodyta
24 Valanda
604
Gamintojo stabilumo duomenys


  Mentions Légales