Poslední aktualizace :
31/03/2026
Antibiotikum   Amikacin sulfate  
injekce
Stabilita roztoků Stabilita směsí Faktory ovlivňující stabilitu Kompatibilita Způsoby aplikace Odkazy pdf
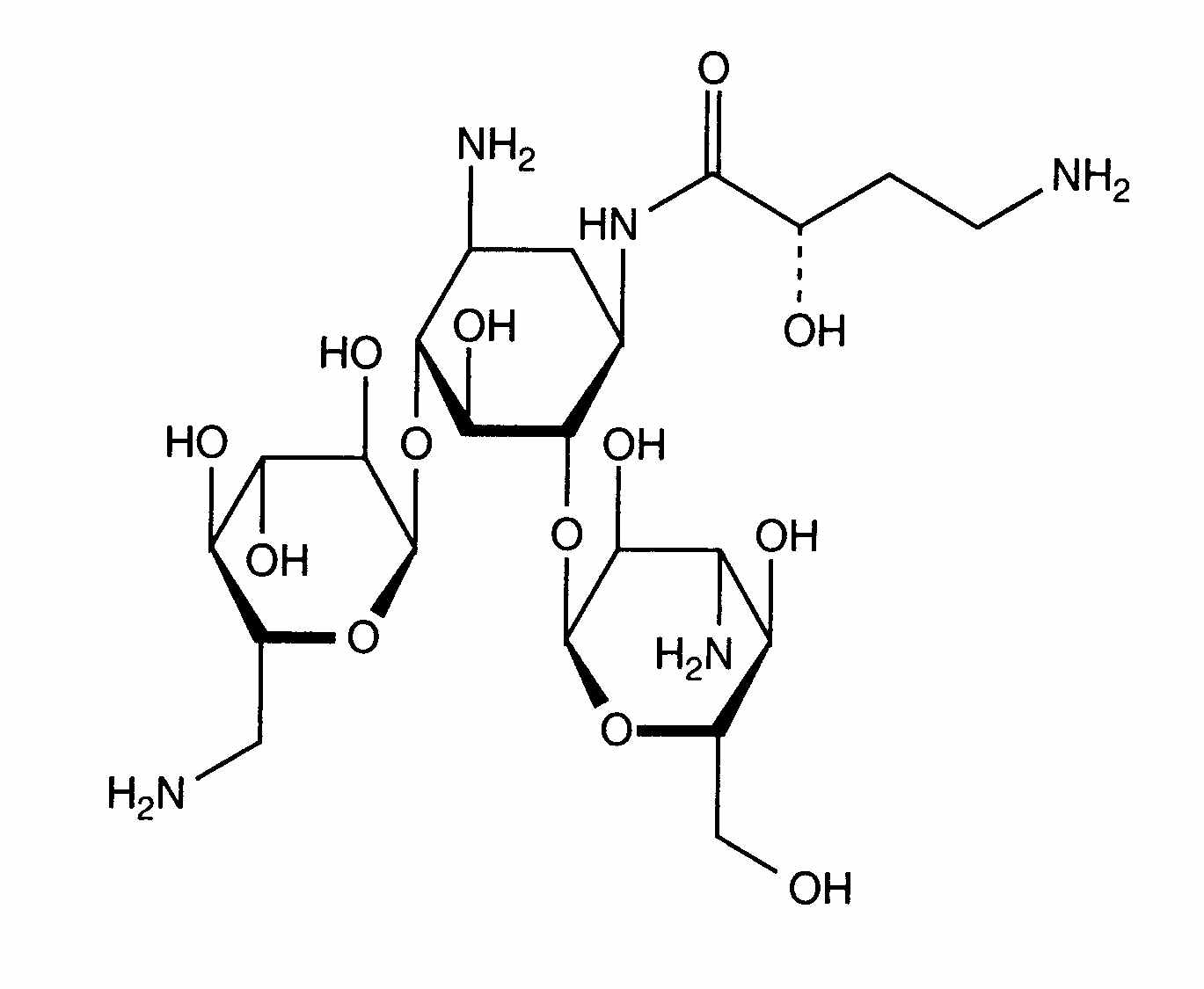
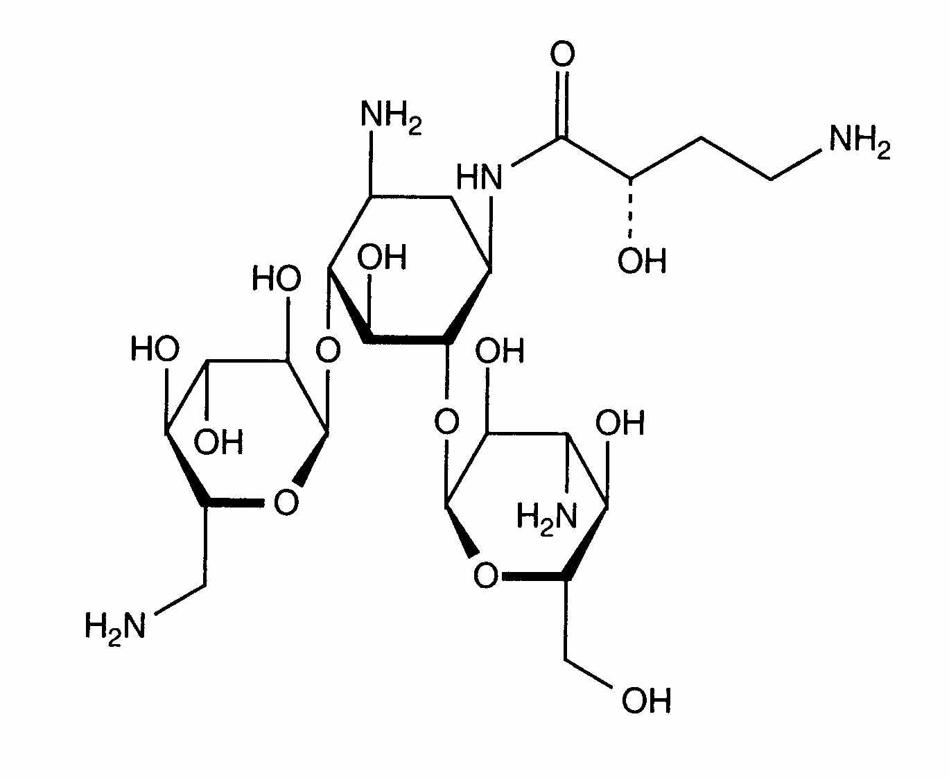
   Chemický vzorec  

Obchodní název   Obchodní název     

Trade names are indicative and excipients composition can be different depending on the country and manufacturers

Adnet Indie
Agnicin Mexiko
Akamin Ekvádor
Akim Ekvádor
Amicacil BrazÌlie
Amicilon BrazÌlie
Amicin Malajsie
Amicip Venezuela
Amijeksin Turecko
Amikabiot Ekvádor, Peru
Amikacin Egypt, Írán, Kanada, Malajsie, NÏmecko, nový Zéland, Saúdská Arábie, USA, Velká Británie
Amikacina äpanÏlsko, Argentina, Chile, Ekvádor, Itálie, Kolumbie, Mexiko, Peru, Venezuela
Amikacine Belgie, Francie, Maroko, Nizozemsko
Amikafur Mexiko
Amikagram Peru
Amikalem Mexiko
Amikamed Peru
Amikamek Peru
Amikan Itálie
Amikavax Venezuela
Amikaver Turecko
Amikayect Mexiko
Amikem Peru
Amiketem Turecko
Amikin Austrálie, BrazÌlie, Egypt, Ekvádor, Irsko, Kolumbie, MaÔarsko, Mexiko, Peru, Polsko, Saúdská Arábie, Švýcarsko, Tunisko, USA, Velká Británie
Amiklin Francie, Turecko
Amikosit Rumunsko, Tunisko, Turecko
Amikram Peru
Amukin Belgie, Lucembursko, Nizozemsko
Apalin Malajsie
Baxi K Chile, Mexiko
Behcacin Indie, Venezuela
Belka Indie
Biclin äpanÏlsko, Finsko, Mexiko, NÏmecko, Portugalsko, Rakousko, Švédsko
Biodacyna Polsko
Biokacin Mexiko
Briklin ÿecko
Cadicin Indie
Chemacin Itálie
Cikabit Indie
Cinamica Indie
Cinas Indie
Consumonit ÿecko
Domak Indie
Doxocar Argentina
Elcin Indie
Elmik Indie
Emcin Indie
Emica Indie
Farcyclin ÿecko
Flexelite ÿecko
Greini Argentina
Ipacin Írán
Itukacin Peru
Kancin ÿecko
Lanomycin ÿecko
Lukadin Itálie
Masmika Indie
Mediamik Itálie
Micalpha ÿecko
Micigen Mexiko
Migracin Itálie
Mikacin Saúdská Arábie
Nekacin Itálie
Novamin BrazÌlie
Orlobin ÿecko
Remikin ÿecko
Rovericlin ÿecko
Uzix ÿecko
Stabilita roztoků   injekce   Stabilita roztoků : Amikacin sulfate     
Obal RozpouötÏdlo Koncentrace Teplota Uchovávání Trvání stability Odkazy
Sklo Chlorid sodný 0,9% 0,25 & 5 mg/ml -15°C Chráněno před světlem
30 Den
561
Úroveň zkoušky D

Sklo Chlorid sodný 0,9% 0,25 & 5 mg/ml 25°C Nespecifikováno
24 Hodina
561
Úroveň zkoušky D

Sklo Chlorid sodný 0,9% 0,25 & 5 mg/ml 4°C Chráněno před světlem
60 Den
561
Úroveň zkoušky D

Sklo Chlorid sodný 0,9% 4 mg/ml 25°C Nespecifikováno
48 Hodina
565
Úroveň zkoušky D

Sklo GlukÛza 5% 0,25 & 5 mg/ml -15°C Chráněno před světlem
30 Den
561
Úroveň zkoušky D

Sklo GlukÛza 5% 0,25 & 5 mg/ml 25°C Nespecifikováno
24 Hodina
561
Úroveň zkoušky D

Sklo GlukÛza 5% 0,25 & 5 mg/ml 4°C Chráněno před světlem
60 Den
561
Úroveň zkoušky D

Sklo GlukÛza 5% 4 mg/ml 25°C Nespecifikováno
48 Hodina
565
Úroveň zkoušky D

Sklo RingerŐs laktátový roztok 0,25 & 5 mg/ml -15°C Chráněno před světlem
30 Den
561
Úroveň zkoušky D

Sklo RingerŐs laktátový roztok 0,25 & 5 mg/ml 25°C Nespecifikováno
24 Hodina
561
Úroveň zkoušky D

Sklo RingerŐs laktátový roztok 0,25 & 5 mg/ml 4°C Chráněno před světlem
60 Den
561
Úroveň zkoušky D

Sklo Chlorid sodný 0,45% 0,25 & 5 mg/ml -15°C Chráněno před světlem
30 Den
561
Úroveň zkoušky D

Sklo Chlorid sodný 0,45% 0,25 & 5 mg/ml 25°C Nespecifikováno
24 Hodina
561
Úroveň zkoušky D

Sklo Chlorid sodný 0,45% 0,25 & 5 mg/ml 4°C Chráněno před světlem
60 Den
561
Úroveň zkoušky D

Polyvinyl chlorid Chlorid sodný 0,9% 5 mg/ml 25°C SvÏtlo
48 Hodina
434

Polyvinyl chlorid Chlorid sodný 0,9% 5 mg/ml 4°C Chráněno před světlem
8 Hodina
434

Polyvinyl chlorid GlukÛza 5% 20 mg/ml -20°C Chráněno před světlem
30 Den
575
Biologická metoda

Polyvinyl chlorid GlukÛza 5% 5 mg/ml 25°C SvÏtlo
48 Hodina
434

Polyvinyl chlorid GlukÛza 5% 5 mg/ml 4°C Chráněno před světlem
48 Hodina
434

Ethylen vinyl acetát Chlorid sodný 0,9% 0,25 & 5 mg/ml 23°C Chráněno před světlem
7 Den
1816
Úroveň zkoušky A+

Ethylen vinyl acetát Chlorid sodný 0,9% 0,25 & 5 mg/ml 4°C Chráněno před světlem
30 Den
1816
Úroveň zkoušky A+

stříkačka polypropylen Chlorid sodný 0,9% 190 mg/ml 22°C-23°C SvÏtlo
48 Hodina
639
Úroveň zkoušky D

Polyisoprenový elastomer GlukÛza 5% 0,25 & 20 mg/ml 25°C Nespecifikováno
24 Hodina
604
Údaje o stabilitě od výrobce


  Mentions Légales