Última actualización :
27/04/2026
Antibiótico   Gentamicin sulfate  
Inyectables
Gotas oculares
Estabilidad en solucion Estabilidad en mezcla Factores que influyen sobre la estabilidad Compatibilidades método de inyección Bibliografía pdf
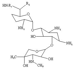
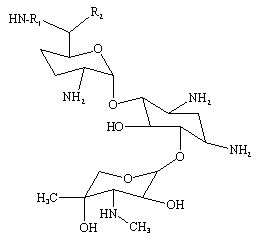
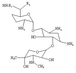
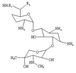
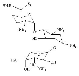
   Estructura química  

Nombre comercial   Nombre comercial     

Los nombres comerciales son orientativos y los excipientes de la formulación pueden ser distintos dependiendo del país y del laboratorio fabricante.

Azupel Marruecos
Cidomycin Egipto, Gran Bretaña, Túnez
Dabroson Grecia
Epigent Egipto
Garalone Portugal
Garamicina Brasil, Colombia, Ecuador, México
Garamycin Croacia, Dinamarca, Egipto, Emiratos Árabes Unidos, Grecia, India, Noruega, Países Bajos, Polonia, Suiza
Genmisin Turquía
Gensif Turquía
Gensumycin Finlandia, Noruega, Suecia
Genta-Gobens España
Gentalline Marruecos
Gentamen Marruecos
Genticin Emiratos Árabes Unidos, Gran Bretaña, Irlanda
Gentreks Turquía
Hexamycin Dinamarca
Plurisemina Argentina
Refobacin Alemania, Austria, Colombia, Egipto
Rupegen Argentina
Estabilidad en solucion   Inyectables   Estabilidad en solucion : Gentamicin sulfate     
Envase Solvente Concentración Temperatura Conservación Duración de la estabilidad Bibliografía
Vidrio Cloruro de sodio 0,9% 10 mg/ml 4°C A cubierto de la luz
84 Día
1486
análisis biológico

Cloruro de polivinilo Cloruro de sodio 0,9% 1 mg/ml -20°C A cubierto de la luz
30 Día
573
análisis biológico

Cloruro de polivinilo Cloruro de sodio 0,9% 1 mg/ml 25°C Luz
48 Hora
434

Cloruro de polivinilo Cloruro de sodio 0,9% 1 mg/ml 4°C A cubierto de la luz
48 Hora
434

Cloruro de polivinilo Cloruro de sodio 0,9% 1,2 mg/ml -20°C A cubierto de la luz
28 Día
565
Nivel de evidencia D

Cloruro de polivinilo Glucosa 5% 1 mg/ml -20°C A cubierto de la luz
30 Día
573
análisis biológico

Cloruro de polivinilo Glucosa 5% 1 mg/ml 25°C Luz
48 Hora
434

datos contradictorios
Cloruro de polivinilo Glucosa 5% 1 mg/ml 4°C A cubierto de la luz
48 Hora
434

Cloruro de polivinilo Glucosa 5% 1,2 mg/ml -20°C A cubierto de la luz
28 Día
565
Nivel de evidencia D

Cloruro de polivinilo Glucosa 5% 1,6 mg/ml -20°C A cubierto de la luz
30 Día
576
análisis biológico

Cloruro de polivinilo Extraneal® (Baxter) 0,02 mg/ml 25°C A cubierto de la luz
14 Día
3888
Nivel de evidencia D

Cloruro de polivinilo Extraneal® (Baxter) 0,02 mg/ml 37°C A cubierto de la luz
14 Día
3888
Nivel de evidencia D

Cloruro de polivinilo Extraneal® (Baxter) 0,02 mg/ml 4°C A cubierto de la luz
14 Día
3888
Nivel de evidencia D

Polietileno Agua para preparación inyectable 2,5 mg/ml 25°C Con o sin luz
112 Día
3141
Nivel de evidencia B

Etilén-vinil-acetato Cloruro de sodio 0,9% 0,85 mg/ml 23°C A cubierto de la luz
7 Día
1704
Nivel de evidencia A+

Etilén-vinil-acetato Cloruro de sodio 0,9% 0,85 mg/ml 4°C A cubierto de la luz
30 Día
1704
Nivel de evidencia A+

jeringa polipropileno Cloruro de sodio 0,9% 30 mg/ml 22°C-23°C Luz
48 Hora
639
Nivel de evidencia D

Elastómero de poliisopreno Cloruro de sodio 0,9% 0,5 & 5 mg/ml 25°C No precisada
24 Hora
604
Datos de estabilidad del fabricante

Elastómero de poliisopreno Cloruro de sodio 0,9% 0,5 & 5 mg/ml 4°C A cubierto de la luz
10 Día
604
Datos de estabilidad del fabricante

Elastómero de poliisopreno Glucosa 5% 0,5 & 5 mg/ml 25°C No precisada
24 Hora
604
Datos de estabilidad del fabricante

datos contradictorios
Elastómero de poliisopreno Glucosa 5% 0,5 & 5 mg/ml 4°C A cubierto de la luz
10 Día
604
Datos de estabilidad del fabricante

No precisado Agua para preparación inyectable 2,5 mg/ml 37°C No precisada
96 Hora
3952
Nivel de evidencia A


  Mentions Légales