viimane versioon :
27/04/2026
antibiootikum   Gentamicin sulfate  
Süsteravim
Silmatilgad
Stabiilsus lahustes Stabiilsust mõjutavad tegurid stabiilsust mõjutavad faktorid Sobimatus Manustamis viis Viited pdf
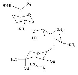
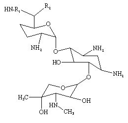
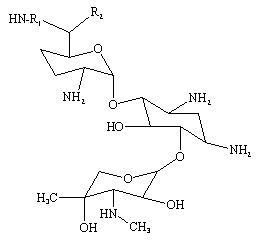
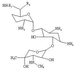
   keemiline struktuur  

Kaubanduslikud nimed erinevates maades   Kaubanduslikud nimed erinevates maades     

Preparaatide nimed on näitlikud ja abianete sisaldus võib erineda sõltuvalt riigist ja laborist

Azupel Maroko
Cidomycin Egiptus, Suurbritannia, Tuneesia
Dabroson Kreeka
Epigent Egiptus
Garalone Portugal
Garamicina Brasiilia, Ecuador, Kolumbia, Mehhiko
Garamycin Araabia Ühendemiraadid, Egiptus, Holland, Horvaatia, India, Kreeka, Norra, Poola, Sveits, Taani
Genmisin Türgi
Gensif Türgi
Gensumycin Norra, Rootsi, Soome
Genta-Gobens Hispaania
Gentalline Maroko
Gentamen Maroko
Genticin Araabia Ühendemiraadid, Iirimaa, Suurbritannia
Gentreks Türgi
Hexamycin Taani
Plurisemina Argentiina
Refobacin Austria, Egiptus, Kolumbia, Saksamaa
Rupegen Argentiina
Stabiilsus lahustes   Süsteravim   Stabiilsus lahustes : Gentamicin sulfate     
konteiner lahusti kontsentratsioon temperatuur ladustamine Stabiilsuse kestus Viited
klaas naatriumkloriid 0.9% 10 mg/ml 4°C kaitsta valguse eest
84 päev
1486
Bioloogiline analüüs

polüvinüülkloriid naatriumkloriid 0.9% 1 mg/ml -20°C kaitsta valguse eest
30 päev
573
Bioloogiline analüüs

polüvinüülkloriid naatriumkloriid 0.9% 1 mg/ml 25°C valgus
48 Tund
434

polüvinüülkloriid naatriumkloriid 0.9% 1 mg/ml 4°C kaitsta valguse eest
48 Tund
434

polüvinüülkloriid naatriumkloriid 0.9% 1,2 mg/ml -20°C kaitsta valguse eest
28 päev
565
Tõenduspõhisuse tase D

polüvinüülkloriid glükoos 5% 1 mg/ml -20°C kaitsta valguse eest
30 päev
573
Bioloogiline analüüs

polüvinüülkloriid glükoos 5% 1 mg/ml 25°C valgus
48 Tund
434

vastuolulisi andmeid
polüvinüülkloriid glükoos 5% 1 mg/ml 4°C kaitsta valguse eest
48 Tund
434

polüvinüülkloriid glükoos 5% 1,2 mg/ml -20°C kaitsta valguse eest
28 päev
565
Tõenduspõhisuse tase D

polüvinüülkloriid glükoos 5% 1,6 mg/ml -20°C kaitsta valguse eest
30 päev
576
Bioloogiline analüüs

polüvinüülkloriid Extraneal® (Baxter) 0,02 mg/ml 25°C kaitsta valguse eest
14 päev
3888
Tõenduspõhisuse tase D

polüvinüülkloriid Extraneal® (Baxter) 0,02 mg/ml 37°C kaitsta valguse eest
14 päev
3888
Tõenduspõhisuse tase D

polüvinüülkloriid Extraneal® (Baxter) 0,02 mg/ml 4°C kaitsta valguse eest
14 päev
3888
Tõenduspõhisuse tase D

polüetüleen süstevesi 2,5 mg/ml 25°C valgusega või ilma valguseta
112 päev
3141
Tõenduspõhisuse tase B

etüleen vinüülatsetaat naatriumkloriid 0.9% 0,85 mg/ml 23°C kaitsta valguse eest
7 päev
1704
Tõenduspõhisuse tase A+

etüleen vinüülatsetaat naatriumkloriid 0.9% 0,85 mg/ml 4°C kaitsta valguse eest
30 päev
1704
Tõenduspõhisuse tase A+

süstal  polüpropüleenist naatriumkloriid 0.9% 30 mg/ml 22°C-23°C valgus
48 Tund
639
Tõenduspõhisuse tase D

Polüisopreenist elastomeer naatriumkloriid 0.9% 0,5 & 5 mg/ml 25°C pole täpsustatud
24 Tund
604
Tootja info stabiilsuse kohta

Polüisopreenist elastomeer naatriumkloriid 0.9% 0,5 & 5 mg/ml 4°C kaitsta valguse eest
10 päev
604
Tootja info stabiilsuse kohta

Polüisopreenist elastomeer glükoos 5% 0,5 & 5 mg/ml 25°C pole täpsustatud
24 Tund
604
Tootja info stabiilsuse kohta

vastuolulisi andmeid
Polüisopreenist elastomeer glükoos 5% 0,5 & 5 mg/ml 4°C kaitsta valguse eest
10 päev
604
Tootja info stabiilsuse kohta

pole täpsustatud süstevesi 2,5 mg/ml 37°C pole täpsustatud
96 Tund
3952
Tõenduspõhisuse tase A


  Mentions Légales