Poslední aktualizace :
27/04/2026
Antibiotikum   Gentamicin sulfate  
injekce
Humbuk
Stabilita roztoků Stabilita směsí Faktory ovlivňující stabilitu Kompatibilita Způsoby aplikace Odkazy pdf
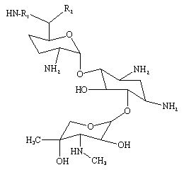
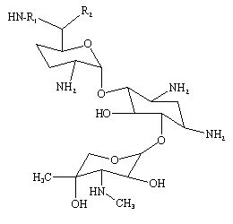
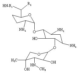
   Chemický vzorec  

Obchodní název   Obchodní název     

Trade names are indicative and excipients composition can be different depending on the country and manufacturers

Azupel Peru
Cidomycin Egypt, Tunisko, Velká Británie
Dabroson ÿecko
Epigent Egypt
Garalone Portugalsko
Garamicina BrazÌlie, Ekvádor, Kolumbie, Mexiko
Garamycin Chorvatsko, Dánsko, Egypt, Indie, Nizozemsko, Norsko, Polsko, Spojené arabské emiráty, Švýcarsko, ÿecko
Genmisin Turecko
Gensif Turecko
Gensumycin Finsko, Norsko, Švédsko
Genta-Gobens äpanÏlsko
Gentalline Maroko
Gentamen Maroko
Genticin Irsko, Spojené arabské emiráty, Velká Británie
Gentreks Turecko
Hexamycin Dánsko
Plurisemina Argentina
Refobacin Egypt, Kolumbie, NÏmecko, Rakousko
Rupegen Argentina
Stabilita roztoků   injekce   Stabilita roztoků : Gentamicin sulfate     
Obal RozpouötÏdlo Koncentrace Teplota Uchovávání Trvání stability Odkazy
Sklo Chlorid sodný 0,9% 10 mg/ml 4°C Chráněno před světlem
84 Den
1486
Biologická metoda

Polyvinyl chlorid Chlorid sodný 0,9% 1 mg/ml -20°C Chráněno před světlem
30 Den
573
Biologická metoda

Polyvinyl chlorid Chlorid sodný 0,9% 1 mg/ml 25°C SvÏtlo
48 Hodina
434

Polyvinyl chlorid Chlorid sodný 0,9% 1 mg/ml 4°C Chráněno před světlem
48 Hodina
434

Polyvinyl chlorid Chlorid sodný 0,9% 1,2 mg/ml -20°C Chráněno před světlem
28 Den
565
Úroveň zkoušky D

Polyvinyl chlorid GlukÛza 5% 1 mg/ml -20°C Chráněno před světlem
30 Den
573
Biologická metoda

Polyvinyl chlorid GlukÛza 5% 1 mg/ml 25°C SvÏtlo
48 Hodina
434

konfliktní údaje
Polyvinyl chlorid GlukÛza 5% 1 mg/ml 4°C Chráněno před světlem
48 Hodina
434

Polyvinyl chlorid GlukÛza 5% 1,2 mg/ml -20°C Chráněno před světlem
28 Den
565
Úroveň zkoušky D

Polyvinyl chlorid GlukÛza 5% 1,6 mg/ml -20°C Chráněno před světlem
30 Den
576
Biologická metoda

Polyvinyl chlorid Extraneal® (Baxter) 0,02 mg/ml 25°C Chráněno před světlem
14 Den
3888
Úroveň zkoušky D

Polyvinyl chlorid Extraneal® (Baxter) 0,02 mg/ml 37°C Chráněno před světlem
14 Den
3888
Úroveň zkoušky D

Polyvinyl chlorid Extraneal® (Baxter) 0,02 mg/ml 4°C Chráněno před světlem
14 Den
3888
Úroveň zkoušky D

Polyethylen Voda pro injekci 2,5 mg/ml 25°C S nebo bez svÏtla
112 Den
3141
Úroveň zkoušky B

Ethylen vinyl acetát Chlorid sodný 0,9% 0,85 mg/ml 23°C Chráněno před světlem
7 Den
1704
Úroveň zkoušky A+

Ethylen vinyl acetát Chlorid sodný 0,9% 0,85 mg/ml 4°C Chráněno před světlem
30 Den
1704
Úroveň zkoušky A+

stříkačka polypropylen Chlorid sodný 0,9% 30 mg/ml 22°C-23°C SvÏtlo
48 Hodina
639
Úroveň zkoušky D

Polyisoprenový elastomer Chlorid sodný 0,9% 0,5 & 5 mg/ml 25°C Nespecifikováno
24 Hodina
604
Údaje o stabilitě od výrobce

Polyisoprenový elastomer Chlorid sodný 0,9% 0,5 & 5 mg/ml 4°C Chráněno před světlem
10 Den
604
Údaje o stabilitě od výrobce

Polyisoprenový elastomer GlukÛza 5% 0,5 & 5 mg/ml 25°C Nespecifikováno
24 Hodina
604
Údaje o stabilitě od výrobce

konfliktní údaje
Polyisoprenový elastomer GlukÛza 5% 0,5 & 5 mg/ml 4°C Chráněno před světlem
10 Den
604
Údaje o stabilitě od výrobce

Nespecifikováno Voda pro injekci 2,5 mg/ml 37°C Nespecifikováno
96 Hodina
3952
Úroveň zkoušky A


  Mentions Légales